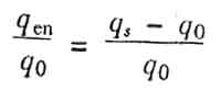
自由射流對周圍氣體的卷吸能力,可以用卷吸率來表示。卷吸率,即卷吸量與射流初始質量的比值,即:
?

式中 qen——卷吸質量流量;
qs——離噴嘴出口s距離截面上射流的總質量流量;
q0——射流的初始質量流量。
實驗證明,對于等溫自由射流有,
?

式中 d0為噴口直徑;比例常數de=0.25~0.45,與實驗條件有關。如de=0.32.射流卷吸率為,
?

對于非等溫自由射流,ρ0≠ρa,則用當量直徑代替噴口直徑,得:
?

式中 ρ0——射流出口初始密度;
ρa——周圍介質(空氣)密度。
在燃燒過程中,噴出氣體是燃氣,故必須有一定量的空氣被卷吸至射流中,方能進行燃燒??捎檬?3—3)、式(3—4)計算應有多長的射流長度才能從周圍獲得所需要的空氣量。
但是,由于燃氣和空氣在射流截面上的濃度分布是極不均勻的,在射流四周空氣大量過剩,在射流中心燃氣大量過剩。為了充分完成混合過程,以便保證完全燃燒,還需要有一段擴散過程。因此實際火焰長度,要比理論計算出的長度大得多。
[例3—3—1]已知噴嘴直徑d=30mm,燃氣低熱值HL=12770kJ/m3,燃氣密度ρg=1.25kg/m3,燃氣向空氣中噴燃,試計算其火焰長度。
解:根據燃燒計算經驗公式,由HL=12770kJ/m3可汁算理論空氣量V0=3.07m3/m3。由式(3—3)求得
?

所以 s=0.33m
實際火焰長度當然要比計算值大。理論證明,不管噴出速度如何,紊流射流的火焰長度與噴嘴直徑成正比。
?
在燃燒技術中,射流往往不是噴人靜止的介質而是噴入運動的氣流,如燃氣噴入低速運動的空氣流中。
射流噴入到與它同向平行流動的主氣流中時,就形成平行氣流。見圖3—3—5。平行氣流中的自由射流,與靜止氣流中的自由射流相比,增加了一個過渡段。在過渡段等速核心已消失,但軸心速度衰減很慢,變化仍不顯著。直至過渡段終了,射流截面速度分布才穩定下來。其后為射流基本段,此時軸心速度衰減就較明顯。
平行氣流中的自由射流邊界仍然是直線,但基本段的邊界線不同于起始段及過渡段,其極點到射流出口的距離為x0。
在平行氣流中,射流的擴散混合、射流的擴展、軸心速度的衰減、射流核心區的長度等,都與射流和主氣流間的速度差有關。
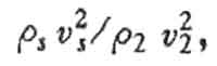
當射流和主氣流之間存在著速度差和密度差時,射流與主氣流混合的強度取決于兩者動壓頭的比值,
????

這里ρs、vs為主氣流密度和平均速度;ρ2、v2為射流密度和平均速度。
混合強度也正比于射流本身動壓頭絕對值的大小ρ2v22。當vs很接近v2時,射流與主氣流的混合非常微弱;當vs=v2時,因速度差引起的分子微團間的湍流擴散就不再進行。射流與主氣流混合過程的動力來源,是射流所具有的初始湍流程度。
如射流與主氣流之間只存在速度差的情況下,則射流與主氣流的混合強度和射流的特性,就取決于主氣流速度vs與射流初速v0之間的速度差。
?

圖3-3-5 平行氣流中的自由射流
?
科技賦能,AI強安——談AI技術在石油…
危險化學品安全技術說明書(PDF版)
170種危險化學品安全技術說明書匯編
化工企業冬季安全生產須知——防火篇
化工企業冬季安全生產須知——防凍凝篇
有限空間作業如何預防窒息和中毒
有限空間作業切記注意安全!
夏季有限空間作業安全風險防范
危險化學品目錄(2015版)
危險化學品分類及其危險特性
對制度落實不到位的原因調查及解決辦…
職工安全生產的權利和義務
危險化學品的儲存
有限空間作業安全知識
柴油罐的存放
加油站安全知識手冊