當燃氣射流以層流狀態向上噴入靜止空氣中時,氣流混合過程如圖3—3—3。射流混合以分子擴散的方式進行。在內外邊界線之間的層流混合邊界層內,燃氣分子從內邊界向外邊界擴散,而空氣分子則從外邊界線向內擴散。因此射流的外邊界(1面)以外,是純空氣。射流內邊界(5面)以內為純燃氣。穩定狀態下,在由射流極點0引出的每一條射線上,燃氣的濃度都是從5面往外逐漸降低的。因此,在每條射線上都可劃分出燃氣的5個濃度段,即:Cg=100%;100%~化學計量濃度;化學計量濃度;化學計量濃度~0%;Cg=0。
?

也就是說,在穩定的燃氣層流自由射流中,由于分子擴散,會形成性質彼此不同的幾個區域:
A——射流核心區;
B——比化學計量濃度更濃的燃氣/空氣混合區;
C——化學計量濃度區;
D——濃度低于化學計量的燃氣/空氣混合區;
E——燃氣濃度等于0的區域。
點火以后,在射流中化學當量濃度區就會形成一層流擴散火焰。顯然,這時火焰長度主要取決于與燃氣的1昆合過程有關的各因素,主要是擴散混合的條件和燃氣的體積流量等。
二、紊流自由射流
在工業燃燒器中,燃氣流量較大,噴嘴孔徑及噴出速度都較大,在噴嘴出口處即形成紊流自由射流。
射流自噴嘴出口以后,在紊流擴散過程中,內部有許多分子微團的脈動,引起射流與周圍介質之間的質量和動量交換,使周圍介質被卷吸。這樣射流質量不斷增加,流場的寬度亦不斷擴展,而射流斷面上速度則不斷減小并逐漸均勻,同時在流寬度上形成各種不同濃度的混合物,如圖3—3—4所示。
由于紊流擴散與分子擴散之間的相似性,所以紊流自由射流和層流自由射流的流場結構圖形也十分相似,主要區別僅在于起始段內紊流自由射流截面速度較大,速度分布更趨均勻。
在層流自由射流和紊流自由射流中,由于氣體分子或分子微團與周圍介質間的自由碰撞,造成射流本身的動量損失,但同時也使周圍介質獲得動量而發生運動。因此,沿射流軸線方向,整個射流的動量和壓力保持不變。這是自由射流的主要特點。
在紊流射流邊界層內,可燃混合物在不同位置處的組成比例顯然是不同的。與層流擴散火焰類似,它在著火時,也是在紊流擴散混合區濃度處于化學當量比的表面上形成火焰焰面。也就是說,紊流射流中燃燒區的位置也是完全由紊流擴散的條件來決定的,燃燒速度則由其擴散混合速度來確定。
研究表明,紊流自由射流的起始段長度s0和極點深度h0都與噴嘴出口半徑有關:
?
式中 a——紊流結構系數,它表示氣流紊動和出口速度場的不均勻程度。
在Re=20×103~4×106的范圍內,系數a并不隨Re變化,僅隨原始速度不均勻程度的加劇而增大。對完全均勻的速度場(???

vO——射流出口軸心速度;???

射流出口截面平均速度),a=0.066;對自然紊動射流???

,a=0.08
射流軸心速度vm的變化取決于噴嘴尺寸和射流出口速度。在起始段,軸心速度等于射流出口速度;其后,軸心速度沿程衰減,如圖3—3—4。
?

根據試驗,圓形射流軸心速度的衰減規律如下:
?

式中 s——計算截面離噴嘴的距離。
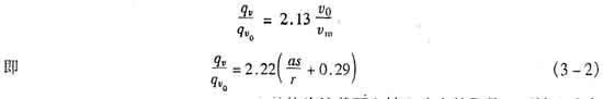
圓形射流任一截面上無因次流量(qv表體積流量)與距離的關系為:
?
?

自由射流中,各截面上的一切特性參數均為該截面上軸心速度的函數,而軸心速度則取決于噴嘴出口截面至該橫截面的距離s,因此已知s和v0、r、a即可直接算出各截面上所有的運動參數。
科技賦能,AI強安——談AI技術在石油…
危險化學品安全技術說明書(PDF版)
170種危險化學品安全技術說明書匯編
化工企業冬季安全生產須知——防火篇
化工企業冬季安全生產須知——防凍凝篇
有限空間作業如何預防窒息和中毒
有限空間作業切記注意安全!
夏季有限空間作業安全風險防范
危險化學品目錄(2015版)
危險化學品分類及其危險特性
對制度落實不到位的原因調查及解決辦…
職工安全生產的權利和義務
危險化學品的儲存
有限空間作業安全知識
柴油罐的存放
加油站安全知識手冊