? 燃氣的燃燒計算,是按照燃氣中可燃成分與氧進行化學反應的反應方程式,根據物質平衡和熱量平衡的原理,來確定燃燒反應的諸參數,包括:燃燒所需要的空氣量、燃燒產物的生成量及成分、燃燒完全程度、燃燒溫度和煙氣焓。這些參數是燃氣燃燒設備設計、熱工管理必要的數據,也是評定生產操作、提高熱效率、進行傳熱和空氣動力計算不可缺少的依據。
考慮到燃氣、空氣和燃燒產物各組成所處的狀態,可以相當精確地把它們當作理想氣體來處理。所以,燃燒計算中氣體的體積都按標準狀態(0℃、101325Pa)計算,其摩爾體積均為22.4L,計算基準可以用1m3的濕燃氣,也可以用1m3干燃氣。必須注意的是,后者還要帶入所含的飽和水汽量,這就是大多數場合下所使用的基準——含有1m3干燃氣的濕燃氣。
? 確定燃氣燃燒所需空氣量和燃燒產物量,屬于燃燒計算的物料平衡的內容。
一、空氣需要量
(一)理論空氣需要量V0
V0是指1m3燃氣按燃燒反應方程式完全燃燒所需要供給的空氣量,m3空氣/m3干燃氣,它是燃氣完全燃燒所需的最小空氣量。
V0的計算方法為,先按照燃燒反應方程式和燃燒計算的氧化劑條件(假設干空氣體積僅由21%的氧和79%的氮組成),確定燃燒所需的理論氧氣量,然后換算成理論空氣需要量。
從單一可燃氣體著手。例如,CO的燃燒反應方程式,連同隨氧帶入的氮,可表示為
?
上式表明,1m3的C0完全燃燒,理論需氧量為0.5m3,隨氧帶入的氮量為1.88m3,相當的理論空氣需要量是0.5/0.21=2.38m3。
對氣態重碳氫化合物CmHn,燃燒反應方程式為
?
也清楚地表明,1m3的CmHn完全燃燒,需要(m+n/4)m3的理論氧,同時帶入3.76(m+n/4)m3的氮,故理論空氣需要量為
?
以此類推,對組成為ψ(CO)+ψ(H2)+ψ(CH4)+ψ(CmHn)+ψ(H2S)+ψ(N2)+ψ(02)=100%的1m3干燃氣,需要的理論氧量,用符號V(O2)O表示為:
?
需要的理論空氣量為:
?
顯然,V0完全取決于燃氣的組成。燃氣中可燃組分含量愈多,熱值愈高,燃燒所需的V0也愈多。所以在實際應用中V0有基于熱值或組成的各種類型的近似計算公式;而在粗略計算時,常常按每4186.8kJ發熱量的燃料,需要1m3V0估算。
(二)實際空氣需要量V
為了保證燃氣完全燃燒,實際供給的空氣量Vm3/m3(干燃氣)均大于理論空氣需要量,這個空氣量多供給的比例,就稱為空氣過剩系數,表示為:
?
即,燃氣燃燒的實際空氣需要量為
?
顯然,這里的V是干空氣需要量,可表示為Vg。
空氣中的水汽含量,可比照燃氣中的水汽含量的確定方法,但要考慮空氣的相對濕度ψ(空氣中的濕含量相對于同溫度下飽和濕含量的百分比)。首先,按空氣溫度由附錄3查出空氣的飽和濕含量d'a,kg/m3(干空氣),則空氣中實際濕含量da=ψd'a,kg/m3(干空氣)。
如,空氣20℃,相對濕度0.6時,查附錄3,d'a=0.0189kg/m3(干空氣),這時空氣的da=O.6×0.0189= 0.0113kg/m3(干空氣),Vs=αV0+1.2×0.0113αV0=(1+0.0136)αV0,m3(濕空氣)/m3(干燃氣)。
一般將10g/m3(干空氣),或0.012m3/m3(干空氣),作為空氣濕含量近似計算的取值。
顯然,燃氣燃燒的實際空氣需要量V,不僅取決于燃氣的組成,同時與燃燒條件。有關,影響因素主要有燃氣燃燒方法、燃燒設備運行工況等。通常,α>1,在工業燃燒設備中α為1.05~1.20,在民用燃具中α為1.30~1.80。
在燃氣燃燒設備中,正確選擇和控制空氣過剩系數α是十分重要的。α過小或過大都將導致不良后果。前者,α小于1,空氣供應不足,燃氣不完全燃燒,燃氣的化學熱不能充分發揮,使設備的熱效率下降,熱耗量增加;后者α大于,或遠大于1,使燃燒產物生成量過大,增加了煙氣帶走的熱損失,也使燃燒設備的熱效率下降,熱耗增加。因此,先進的燃燒設備應在保證完全燃燒的前題下,使α值大于并趨近于1,即采用低氧燃燒法。
二、完全燃燒產物的計算
燃氣燃燒后的產物,統稱為煙氣。嚴格地說,燃燒產物不僅限于煙氣,還應包括煙氣中所攜帶的灰粒和未燃燼的固體碳粒,但由于它們在煙氣中所占容積百分比極小,因此,在一般的計算中都略去不計。
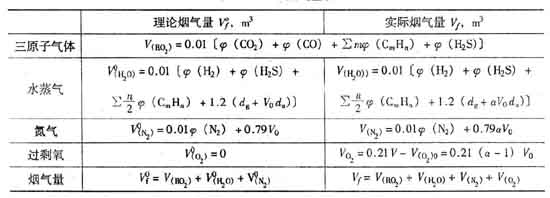
(一)煙氣量
當α=1時,只供給理論空氣量,如果燃氣完全燃燒,產生煙氣的量稱為理論煙氣量Vofm3(煙氣)/m3(干燃氣),它的組成包括:C02、S02、N2、H20。
當α>l時,供應空氣過剩,燃氣完全燃燒后產生的煙氣量則稱之為實際煙氣量Vfm3(煙氣)/m3(干燃氣),這時煙氣中除含有上述四組分之外,還含有過剩氧,即包含CO2、S02、N2、O2和H20。前3種組分合在一起稱為干煙氣Vgf;包括H2O在內的煙氣則稱為濕煙氣Vsf。
煙氣中C02和S02,都是三原子氣體,又同屬酸性氧化物,在化學吸收法進行氣體分析時它們的含量經常合在一起分析,因此,通常合稱為三原子氣體,用符號R02表示。
對于混合氣體燃燒產生的煙氣量,為各燃氣組分產生煙氣量之和,如表3—1—1。
?

實際上V0f和Vf的差別,僅在于α=1和α>1相比燃燒產物生成量少一部分過剩空氣量,即
所以
?

同樣,煙氣量也有多種類型的近似計算式,可參考各種工具書。
(二)煙氣的組成
煙氣的組成一般也用容積成分(體積百分數ψ)來表示。
即 ψ(RO'2)=V(RO2)/Vf×100%
ψ(N'2) =V(N2)/Vf×100%
ψ(O'2)M=V(O2)/Vf×100%
ψ(H2O')=VH2O/Vf×100%
煙氣組成(體積百分數):ψ(R02)+ψ(N2)+ψ(02)+ψ(H20)=100 (1—8)
(三)煙氣的密度
煙氣的密度ρof,kg/m3(煙氣),有兩種計算方法。
一種,按煙氣各組分的密度,用加和法計算。
?

式中 用i代表煙氣中的不同組分。
另一種方法,按質量守衡,用參加燃燒反應的物質總量,除以燃燒產物的總體積。
?

三、燃料燃燒方程式及空氣過剩系數
(一)燃料燃燒方程式
燃料燃燒方程,或稱氣體分析方程,表示燃料燃燒產物各組分之間的關系。它可用來鑒定燃燒的質量;驗證燃燒產物氣體成分的準確性;在核實煙氣分析結果后,還可用來求某一未知組分。
燃料燃燒方程式的推導是基于燃燒的物料平衡。針對燃氣,可推導如下。
干燃氣組成(體積)為,ψ(CO)+ψ(H2)+∑ψ(CmHn)+ψ(H2S)+ψ(O2)+ψ(N2)=100
從不完全燃燒產物量考慮,如前所述,當燃氣不完全燃燒時,煙氣中含有C0、H2、CH4等可燃物,但由于H2、CH4的含量比CO少得多,因此工程上的不完全燃燒產物常常僅考慮CO。這樣,上述燃氣不完全燃燒的干煙氣的組成(體積百分數)為:
科技賦能,AI強安——談AI技術在石油…
危險化學品安全技術說明書(PDF版)
170種危險化學品安全技術說明書匯編
化工企業冬季安全生產須知——防火篇
化工企業冬季安全生產須知——防凍凝篇
有限空間作業如何預防窒息和中毒
有限空間作業切記注意安全!
夏季有限空間作業安全風險防范
危險化學品目錄(2015版)
危險化學品分類及其危險特性
對制度落實不到位的原因調查及解決辦…
職工安全生產的權利和義務
危險化學品的儲存
有限空間作業安全知識
柴油罐的存放
加油站安全知識手冊