(四)空氣過剩系數。
從前面討論中可知,α的大小對燃燒過程有很大的影響,諸如燃料消耗、燃燒溫度、熱效率等。因此,α是燃燒過程控制的重要指標,必須及時根據煙氣分析結果檢查確定。
在實際燃燒中,最好的辦法是通過煙氣中的組分來判斷燃燒的質量,從而達到控制燃燒過程的目的。
煙氣分析用煙氣分析儀。煙氣分析儀,按其工作原理可分為三類:化學吸收式、物理檢測式、物理化學分析式。
按煙氣組分計算α的公式很多,比較常用的有兩種:氧平衡公式和氮平衡公式。
1.氧平衡公式
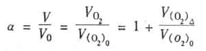
根據α的定義,可寫出;
?

式中 V、V(02)——實際空氣量和實際氧氣量;下標“0”表示理論量,“△”表示過剩量。
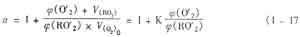
經過代換,可得到完全燃燒氧平衡公式:
?

系數K=V(RO2)/V(O'2)0,由燃氣組成決定。
對于不完全燃燒,氧平衡公式為:
?

2.氮平衡公式
同樣,根據α的定義,有:
?

已知燃氣組分,ψ(N2)、ψ(C02)、ψ(CO)……,又有煙氣分析結果ψ(RO'2)、ψ(O'2),就可確定此時的α。
當燃氣中含氮量很少N2≈0時,則
?

表明α僅僅與煙氣成分有關,采用ψ(RO'2)、ψ(O'2)連續分析檢測,就可連續監視設備中的燃燒工況。
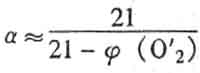
對含H2很少的燃氣,如天然氣或液化石油氣,煙氣中ψ(N'2)≈79%時,???

,只要隨時對煙氣進行ψ(O'2)分析,即可隨時檢測到α值。
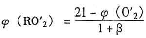
在實際操作中,由前面燃燒方程,有公式,???
?

,當α=1,且完全燃燒時
???

。對某種燃氣,α(RO'2)max一定,只要連續進行ψ(R0'2)分析,也可連續監控燃燒設備的α值。
對于不完全燃燒,氮平衡公式(1—19)中,剩余氧還應扣除不完全燃燒的可燃組分本應消耗掉的氧。
所以
?

科技賦能,AI強安——談AI技術在石油…
危險化學品安全技術說明書(PDF版)
170種危險化學品安全技術說明書匯編
化工企業冬季安全生產須知——防火篇
化工企業冬季安全生產須知——防凍凝篇
有限空間作業如何預防窒息和中毒
有限空間作業切記注意安全!
夏季有限空間作業安全風險防范
危險化學品目錄(2015版)
危險化學品分類及其危險特性
對制度落實不到位的原因調查及解決辦…
職工安全生產的權利和義務
危險化學品的儲存
有限空間作業安全知識
柴油罐的存放
加油站安全知識手冊