? 為適應迅速發展的城市建設,我國大中型城市中高層建筑不斷涌現,其中普通住宅和商住樓數量居多,而且發展較快。本文針對一類高層建筑中的普通住宅和商住樓,就消火栓給水系統的設置、自動噴水滅火系統的供水方式、車庫和發電機房的滅火以及貯水池等進行介紹和分析,以供今后類似系統設計參考。
??? 1 消火栓的設置
??? 1.1 一類高層住宅宜設小口徑消火栓
??? 隨著人民生活水平的提高,住宅裝飾水準和家具陳設檔次越來越高,加之樓層多,住戶集中,火災危險性較大。一旦發生火災,火勢蔓延迅速,人員疏散困難,撲救工作復雜,損失巨大。及時撲滅初期火災,控制火勢蔓延,就顯得非常重要。在每個樓層增設小口徑消火栓就可以及時有效地撲滅戶內初期火災。即使是住宅走道上設置了自動噴水滅火噴頭,對于戶內火災也鞭長莫及,控制不了戶內初期火災,在高層住宅內小口徑消火栓的特殊作用是其他設施不可取代的。
??? 1.2 每個樓層設置消火栓個數的探討
??? 按《高層民用建筑設計防火規范》(GB50045-95)(以下簡稱“高規”)第7.2.2條,一類普通住宅和一類商住樓的室內消火栓用水量至少為20L/s和40L/s,按照消防用水量設置消火栓,每層2個或者3個(消防電梯前室另設消火栓)即可。但是一類高層住宅由于樓層較多,其他附屬設施齊全,投資較大,每個樓層的戶數較多,一般消防電梯(可兼客梯)前室兩端各布置一半住戶,用走道連接,前室兩端和兩走道的聯系門為乙級防火門,火災時應自動關閉。此時電梯前室兩端消火栓無法穿過電梯前室滅火,電梯前室兩端住宅的消火栓應自成獨立的滅火體系,即至少各設2個消火栓,這樣加上消防電梯前室1個消火栓,每層至少設置5個消火栓,才能滿足消防要求。
??? 1.3 屋頂檢驗消火栓可以不設壓力表
??? 按“高規”第7.4.6.9條規定屋頂檢驗用消火栓應裝壓力顯示裝置(壓力表)。在溫暖地區屋頂消火栓一般是露天設置的,其壓力表日曬雨淋,一般2-3a后就不能動作,在酸雨嚴重的城市,壓力表銹蝕的速度還會更快。為了使屋頂檢驗消火栓確實起到檢驗作用,筆者認為設計時在設備材料表中列入1套便攜式消火栓末端試驗裝置為好,這種試驗裝置便于攜帶,300元左右1套,可以測試任何一個消火栓的靜壓和動壓,使用方便。只要房屋管理部門有1套消火栓試驗裝置,屋頂檢驗消火栓就可以不設壓力表。
??? 2 自動噴水滅火系統供水方式探討
??? 根據“高規”第7.6.2條規定,不超過100m的一類高層(普通)住宅不設置自動噴水滅火系統,只有商住樓裙房和塔樓(住宅)走道才設置該系統。筆者就一類高層商住樓自動噴水滅火系統供水方式發表看法。
??? 2.1 設計流量計算
??? 商住樓裙房和地下層,一般為商務用房和車庫,根據《自動噴水滅火系統設計規范》(GB50084-2001)(以下簡稱“噴規”)第5.0.1條規定,按中危險級I級或II級設計。作用面積160m2,噴水強度6L/(min·m2)(I級)或8L/(min·m2)(II級)。系統設計流量計算,先按“噴規”第9.1.2條要求,在最不利點處劃定160m2作用面積,按第9.1.1條公式q=
計算作用面積內各噴頭節點流量,再按9.1.3條作用面積內噴頭同時噴水總流量公式
計算出系統設計流量,最后按第9.1.14條要求核算噴水強度。
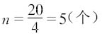
??? 塔樓為住宅層,僅在走道內和(電梯、疏散樓梯)合用前室內設置噴頭。“噴規”第5.0.2條規定和“噴規”附錄A舉例,作用面積為最大疏散距離所對應的走道面積,火災危險等級為輕危險級,噴水強度為4L/(min·m2)。按“高規”規定,住宅袋形疏散走道最大疏散距離20m,走道凈寬一般不大于1.3m。
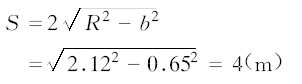
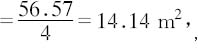
??? 當走道噴頭最低工作壓力為0.05MPa時,噴水量q=56.57L/min。噴頭平均噴水強度以4L/(min·m2)計,其圓形保護面積F
則一排布置時,噴頭最大間距S為:
式中R———噴頭保護半徑,m,此處R=2.12m;?
?b———噴頭保護寬度,m,取值0.65m。

袋形走道內噴頭數
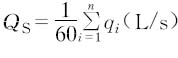
按作用面積內5個噴頭同時噴水總流量公式
,最不利噴頭工作壓力0.1MPa計算,系統設計流量Qs=7.24L/s。
??? 若按6個噴頭布置,平均間距3.33m,最不利噴頭工作壓力為0.1MPa時,系統設計流量為8.86L/s。此時最低工作壓力為0.05MPa時,其噴水強度為5.64L/(min·m2)>(6×0.85=)5.1L/(min·m2),按“ 噴規”第9.1.4條規定,達到中危險級I級要求。
通風隊木工房防止地面火災的措施
可燃和有毒氣體檢測裝置安裝高度要求
安全處理易燃易爆粉塵
生活區防火措施
加油站火災事故的預防對策
防火涂料施工專項措施
建筑消防設施維護保養作業指導書
化工倉庫防火安全技術總指導
消防防火安全措施方案
消防安全出口設置要求
動火作業安全注意事項
消除靜電的方法有哪些?
火災事故應急處置措施
冬季安全生產六防措施
安全疏散通道的設置要求
企業火災事故預防措施