一、工程概況及計算依據
臨海市中心區商業街
13#樓,總建筑面積
15826m2,總共
12層,建筑物閣樓層檐口高度為
37.47m,外懸挑腳手架分兩次懸挑,分別在
5.57m和
20.07m樓層懸挑一次,鋼管腳手架的計算參照《建筑施工扣件式鋼管腳手架安全技術規范》(
JGJ130-2001)。
計算的腳手架為雙排腳手架,搭設高度為
18.9m,立桿采用單立管。
搭設尺寸為:立桿的縱距
1.50m,立桿的橫距
1.05m,立桿的步距
1.50m。
采用的鋼管類型為
φ48×3.5。
連墻件采用兩步兩跨,豎向間距
3.0m,水平間距
3.0m。
施工均布荷載為
3.0 kN/m2,同時施工
2層,最大懸挑段腳手板共鋪設
11層。
懸挑水平鋼梁采用〔
20a號,其中建筑物外懸挑段長度
3.0m,建筑物內錨固段長度
2.00m。
懸挑水平鋼梁上面的聯梁采用〔
14a號,相鄰懸挑鋼梁之間的聯梁上最多布置
2根立桿。
懸挑水平鋼梁下面采用支桿、上面采用鋼絲繩與建筑物拉結。
最里面支點距離建筑物
1.20m,支桿采用
∟6.3。
二、大橫桿的計算:
大橫桿按照三跨連續梁計算(見圖
1)。
1.均布荷載值計算
大橫桿的自重標準值:
P1=0.038 kN/m;
腳手板荷載標準值:
P2=
0.350×1.050/(
2+
1)
=
0.123 kN/m;
活荷載標準值:
Q=
3.000×1.050/(
2+
1)=
1.050 kN/m;
靜荷載計算值:
q1=1.2×0.038+
1.2×0.123
=
0.193 kN/m;
活荷載計算值:
q2=1.4×1.050=
1.470 kN/m;
2.強度計算(見圖
2)
圖1 大橫桿計算荷載組合簡圖

圖2 大橫桿計算荷載組合簡圖(支座最大彎矩)
三跨連續梁中最大彎矩計算公式:
M1max=0.08 q1l2+0.10 q2l2=0.366 kN.m;
支座最大彎矩計算公式:
MBmax=-0.10 q1l2-0.117 q2l2
選擇支座彎矩和跨中彎矩的最大值進行強度驗算:
σ=(0.430×106)/5080.0=84.646 N/mm2
大橫桿的抗彎強度:σ=84.646 N/mm2
<?=205.0 N/mm2。滿足要求!
3.撓度計算:
最大撓度計算公式如下:

靜荷載標準值:q1=P1+P2=0.161 kN/m;
活荷載標準值:q2=Q=1.050 kN/m;
把q1、q2代入上述公式得υ=2.315 mm
容許撓度為l/150與10 mm,參考規范表5.1.8。
大橫桿的最大撓度小于1500.0/150 mm或者10 mm,滿足要求!
三、小橫桿的計算:
小橫桿按照簡支梁進行計算(見圖3)。
1.荷載值計算(略)

圖3 小橫桿計算簡圖
2.強度計算(略)
小橫桿的計算強度值173N/mm2<?=205N/mm2,滿足要求。
3.撓度計算(略)
四、扣件抗滑力的計算:
扣件的抗滑承載力按照下式計算(規范5.2.5):
R≤Rc
其中 Rc-扣件抗滑承載力設計值,取8.0kN;
R-立桿的豎向作用力設計值;
R<8 kN,單扣件抗滑承載力的設計計算滿足要求!
五、腳手架荷載標準值:
作用于腳手架的荷載包括靜荷載、活荷載和風荷載。
(1)按扣件腳手架規范得每米立桿承受的結構自重標準值gk為0.1394(kN/m),由此產生的自重軸的向力:
NG1k=0.139×18.900=2.635 kN;
(2)竹串片腳手板的自重標準值為0.35(kN/m2)
NG2k=0.350×11×1.500×(1.050+0.3)/2=3.898 kN;
(3)竹串片桿與擋板自重標準值為0.11(kN/m2)
NG3k=0.140×11×1.500/2=1.155 kN;
(4)安全設施荷載為0.005(kN/m2)
NG4k=0.005×1.500×18.900=0.142 kN;
NG=NG1k+NG2k+NG3k+NG4k=7.830 kN;
內、外立桿按一縱距內施工荷載總和的1/2取值得到
NQ=3.000×1.050×1.500×2/2=4.725 kN;
風荷載標準值
ωk=0.7Us·Uz·ω0
其中ω0、Uz按照《建筑結構荷載規范》(GB50009-2001)的規定采用:
Us——風荷載體型系數:Us=1.200;
經計算得到,ωk=0.635 kN/m2
考慮風荷載,立桿的軸向壓力設計值N=1.2 NG+0.85×1.4NQ=15.018 kN;
不考慮風荷載,立桿的軸向壓力設計值N=1.2NG+1.4NQ=16.01
風荷載設計值產生彎矩Mω=0.85×1.4ωklah2/10=0.255 kN.m;
六、立桿的穩定性計算:
考慮風荷載時,立桿的穩定性計算公式

立桿的軸心壓力設計值:N=15.018 kN;
軸心受壓立桿的穩定系數φ=0.262;
代入數字:167.428 N/mm2<?=205.000 N/mm2滿足要求!
七、連墻件的計算:
連墻件的軸向力計算值應按照下式計算:
Nl=Nlw+No
風荷載基本風壓值ωk=0.635 kN/m2;
每個連墻件的覆蓋面積內腳手架外側的迎風面積Aw=9 m2;
連墻件約束腳手架平面外變形所產生的軸向力:No=5 kN;
風荷載產生的連墻件軸向力設計值(kN),應按照下式計算:
Nlw=1.4×ωk×Aw=8.002 kN;
連墻件的軸向力計算值Nl=Nlw+No=13.002 kN;
由λl/i=200/15.8的結果查表得到φ=0.966;
A=4.89 cm2
連墻件軸向力設計值N?=φ×A×?=0.966×4.890×10-4×205.000×103=96.837 kN;
Nl=13.002<N?=96.837,連墻件的設計計算滿足要求!
連墻件采用雙扣件與墻體連接。
經過計算得到Nl=13小于雙扣件的抗滑力16.0kN,滿足要求!
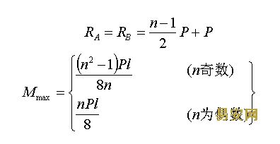
八、聯梁的計算:
按照集中荷載作用下的簡支梁計算
集中荷載P傳遞力,P=16.010 kN
計算簡圖如圖4

圖4 頂梁計算簡圖
支承座按照簡支梁的計算公式

其中n=2
經過簡支梁的計算得到
支座反力(考慮到支承的自重)RA=RB=24.277 kN
通過傳遞到支座的最大力為(考慮到支承的自重)2×16.010+3.000×0.174=32.544 kN
最大彎矩(考慮到支承的自重)Mmax=2/8×16.010×3.000+0.174×3.000×3.000/8=12.204 kN.m
截面應為=12.204×106/80500.0=151.602 N/mm2
水平支承梁的計算強度151.602<205.0N/mm2,滿足要求!
九、懸挑梁的受力計算:
懸挑腳手架的水平鋼梁按照帶懸臂的連續梁計算(見圖5~圖7)。

圖5 懸挑腳手架示意圖

圖6 懸挑腳手架計算簡圖
經過連續梁的計算得到

圖7 懸挑腳手架支承梁彎矩圖(kN.m)
懸臂部分腳手架荷載N的作用,里端B為與樓板的錨固點,A為墻支點。
水平支撐梁的截面慣性矩I=1780.40 cm4,截面抵抗矩W=178.00 cm3,截面積A=28.83 cm2。
受腳手架作用的聯梁傳遞集中力(即傳遞到支座的最大力)N=32.544 kN;
水平鋼梁自重荷載q=1.2×28.830×0.0001×78.500=0.272 kN/m;
各支座對支承梁的支承反力由左至右分別為
R[A]=39.026 kN;
R[B]=27.939 kN;
R[C]=-0.518 kN。
最大彎矩Mmax=3.790 kN.m;
截面應力σ=M/1.05W+N/A=3.790×106/(1.05×178000.0)+0.000×103/2883.0=20.278 N/mm2;
水平支承梁的計算強度σ=20.278<215.000 N/mm2,滿足要求!
十、懸挑梁的整體穩定性計算:
水平鋼梁采用〔20a號,計算公式如下

其中φb-均勻彎曲的受彎構件整體穩定系數,按照下式計算:

經過計算得到強度φb=2.085;
由于φb大于0.6,按照《鋼結構設計規范》附表B其值用φb得到其值為0.935;
經過計算得到:22.778 N/mm2<?=215.000 N/mm2,滿足要求!
十一、拉繩與支桿的受力計算:(略)
十二、拉繩與支桿的強度計算:(略)
十三、結束語
本方案所使用的鋼管都要經過法定檢測單位檢測,合格的鋼管才能使用。此腳手架經實際使用,情況非常良好,本設計計算是安全的。但為確保腳手架的安全,施工人員在施工過程中必須嚴格執行國家的有關規范和設計方案,不得私自改變設計方案。