1 主題內容與適用范圍
本標準規定了有毒氣體檢測報警儀分類、技術要求、檢驗方法等。
本標準適用于有毒氣體檢測報警儀的質量評價、檢驗和選型。
2 引用標準
GB2421 電工電子產品基本環境試驗規程 總則
GB3836.1 爆炸性環境用防爆電氣設備 通用要求
GB3836.2 爆炸性環境用防爆電氣設備 隔爆型電氣設備“d”
GB3836.4 爆炸性環境用防爆電氣設備 本質安全型電路和電氣設備“i”
GB5274 氣體分析校準用混合氣體的制備 稱量法
GB5275 氣體分析校準用混合氣體的制備 滲透法
GB12358 作業環境氣體檢測報警儀 通用技術要求
3 術語
3.1 有毒氣體檢測報警儀(以下簡稱儀器)
用于監測空氣中對人體有毒有害氣體的儀器(包括檢測儀、報警儀、檢測報警儀)。
3.2 零氣
不含被測氣體或其它干擾氣體的清潔空氣或氮氣。
3.3 標準混合氣(簡稱標準氣)
被測氣體和零氣的混合氣,其濃度和不確定度均為已知。
3.4 標定用標準混合氣(簡稱標定氣)
用儀器全量程(50—70)%濃度的標準氣做為標定氣。
4 儀器分類
表1 儀器分類表

5 技術要求
5.1 結構要求
5.1.1 防爆型的儀器必須符合GB3836.1、GB3836.2和GB3836.4的規定要求并取得防爆檢驗合格證。
5.1.2 儀器要堅固耐用,便于操作、維修、標定和校驗。
5.1.3 儀器與有害氣體以及其它腐蝕性物質接觸的部分應使用耐腐蝕性材料或經過耐腐蝕處理的材料制作。
5.2 功能要求
5.2.1 儀器是否處于工作狀態,應有明確顯示。
5.2.2 報警信號應有明顯的報警作用。
5.2.3 設置多點監測報警的儀器,應保證即使某一點正在報警而其它點出現報警條件時,也應該進行報警,并且能夠分別指示報警場所。
5.2.4 儀器有較高的抗干擾能力。
5.2.5 連續式儀器應有故障報警功能。
5.3 性能要求
5.3.1 儀器性能指標應符合表2的要求。
表2 性能指標

5.3.2 溫度變化影響
按6.6.9試驗,示值誤差和報警點設置誤差應符合5.3.1要求。
5.3.3 電源變化影響
按6.6.10試驗,示值誤差和報警點設置誤差應符合5.3.1要求。
5.3.4 振動影響
按6.6.11試驗,示值誤差和報警點設置誤差應符合5.3.1要求。
5.3.5 跌落影響
按6.6.12試驗,示值誤差和報警點設置誤差應符合5.3.1要求。
6 試驗
6.1 技術文件的審查
送檢儀器應備有下列資料:
a. 產品標準或技術條件;
b. 使用說明書;
c. 其它有關材料。
6.2 試驗條件
6.2.1 環境溫度:15℃-35℃
6.2.2 環境濕度:≤85%RH
6.2.3 供電電源
a. 直流電源:額定值±10%
b. 交流電源:220V+10% 220V-15%
6.2.4 周圍環境應無干擾檢測的因素
6.3 儀器外觀、結構和功能檢查
a. 儀器外表涂層應色澤均勻,不得有明顯的擦傷、露底、裂紋及起泡現象;
b. 緊固件、開關、旋鈕等部件裝配應可靠,使用方便,性能良好;
c. 儀器的結構應符合5.1要求;
d. 儀器的零點、量程、報警點三個電位器應調節方便,設置可靠;
e. 儀器通電檢查其功能應符合5.2要求。
6.4 試驗前的準備
6.4.1 試驗前儀器穩定時間
按儀器生產廠家規定的穩定時間。
6.4.2 試驗前調零
經過6.4.1條規定的穩定時間后,在零氣條件下調節儀器的零點使指示值為零。
6.4.3 試驗前儀器標定
經6.4.2條調零后,在通入標定氣條件下調節儀器,使其指示值與標定氣濃度值相對應。
6.5 試驗要求
6.5.1 試驗前按6.4條做好試驗準備。
6.5.2 標準氣選用該儀器檢測氣體與空氣(或氮氣)的混合氣,按GB5274、GB5275配制,其濃度的不確定度在±3%以內。
6.5.3 試驗時通氣方法要嚴格模擬該儀器的使用情況
a. 泵吸式儀器,標準氣流量要恒定在額定值,不應因入口壓力變化而使標準氣流量波動。
b. 擴散式儀器,標準氣接觸檢測器的壓力要求恒定在常壓(大氣壓)或一個微小的壓力(其值不得超過100Pa),通氣流量要恒定。
6.6 試驗項目及方法
6.6.1 示值誤差試驗
a. 示值誤差
指示值與標準氣濃度值之差,用相對量表示,按下式計算:

b. 試驗方法
用儀器滿刻度值(20±5)%、(40±5)%、(60±5)%、(80±5)%四種濃度的標準氣分別通入儀器,待指示穩定后記錄示值,每種濃度的標準氣重復試驗3次,各示值分別按上式計算示值誤差,選其中最大者為儀器的示值誤差。
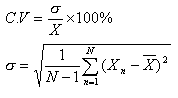
6.6.2 重復性試驗
a. 重復性
對同一種標準氣短時間內測量結果的重現性,用變異系數C.V表示,計算公式如下:

式中:

為儀器測量結果的平均值;
N為測量次數;
X
n為各次測量的指示值。
b. 試驗方法
在條件不變的情況下,用儀器滿刻度值(40-60)%的任一種濃度的標準氣通入儀器,指示穩定后記錄示值Xn,然后儀器通入零氣,重復試驗6次,計算C.V值。
6.6.3 零點漂移試驗
a. 零點漂移
連續式儀器,在試驗條件下,通入零氣連續工作,在一定時間內其指標值的變化,用下式表示:

b. 試驗方法
連續式儀器通入零氣連續工作24小時,每隔2小時記錄一次指示值,取其中最大值和最小值,按上式計算(指針式儀器把零點調到最低量程的5%左右,再開始試驗)。
6.6.4 穩定性試驗
a. 穩定性
儀器在試驗條件下連續工作,在一定時間內示值變化程度為儀器穩定性,用下式表示:

b. 試驗方法
儀器在通入零氣的狀況下,保持一定時間的工作狀態,用滿刻度值(40±5)%的同一種濃度的標準氣試驗。
對間斷式儀器,保持2小時工作狀態,期間每隔0.5小時通入一次標準氣,記錄示值,共做5次為一周期,取其中最大指示值和最小指示值按上式計算。每天試驗一周期,重復3天,取其中最大的計算值為儀器穩定性。
對連續式儀器保持72小時連續工作狀態,期間每隔4小時通入一次標準氣并記錄示值,取其中最大指示值和最小指示值,按上試計算儀器穩定性。
6.6.5 響應時間試驗
a. 響應時間
儀器在通入零氣的情況下,從瞬時變為通入標定氣,到指示值上升到標定氣濃度值的90%所需的時間。
b. 試驗方法
儀器在通入零氣的情況下,瞬時變為通入標定氣,并同時記錄指示值上升到標定氣濃度的90%所需的時間,重復做3次取其平均值。
6.6.6 恢復時間試驗
a. 恢復時間
儀器在通入標定氣的情況下,從瞬時變為通入零氣到儀器指示值下降到標定氣濃度值的10%所需的時間。
b. 試驗方法
儀器在通入標定氣情況下,瞬時變為通入零氣到儀器指示值下降到標定氣濃度值10%所需時間,重復做3次取其平均值。
6.6.7 報警點設置誤差試驗
a. 報警點設置誤差
儀器開始報警時最低指示值與設定值之差為報警設置誤差,用相對值表示,如下式:

b. 報警點的設置
調節調零電位器,使儀器指示值為報警設置濃度,再緩慢調節報警設定電位器,當報警信號開始出現時,立即停止調節,然后反方向調節調零電位器使指示值為零,保持其設定值。
c. 試驗方法
報警點設定后,調節調零電位器或者通入1.5倍報警設定值濃度的標準氣,使儀器指示值從零點上升,記錄報警信號出現時的指示值,并按上式計算,重復3次,取其中最大計算值為報警點設置誤差。
6.6.8 報警動作響應時間試驗
a. 報警動作響應時間
儀器在通入零氣情況下,從瞬時通入1.5倍報警設置濃度的標準氣,到報警動作開始所需時間為報警動作響應時間。
b. 試驗方法
儀器通入零氣情況下,瞬時變為通入1.5倍報警設置濃度的標準氣,并同時記錄時間,直到發生報警動作為止。共做3次,取其平均值。
6.6.9 溫度變化對示值誤差和報警點設置誤差的影響
將儀器置于試驗箱中,在室溫按6.4條準備后,以小于每分鐘5℃速率將溫度分別下降和上升到0℃和40℃(濕度為≤85%RH),各恒溫保持1小時后,用滿刻度值(40—60)%的任一種濃度標準氣,按6.6.1條做示值誤差試驗,再按6.6.7條做報警點設置誤差試驗。
6.6.10 電源變化對示值誤差和報警點設置誤差的影響試驗
儀器在額定電源電壓下按6.4條做好準備,使電源電壓按6.2.3規定的極限值變化,然后分別用滿刻度值(40—60%)的任一種濃度標準氣按6.6.1條做示值誤差試驗,再按6.6.7條做報警點設置誤差試驗。
6.6.11 振動對示值誤差和報警點設置誤差的影響試驗
將儀器按6.4準備后關機并緊固在振動臺上,選頻率為10—55Hz,振幅為0.15mm,掃頻時間為每次4.5分鐘,垂直和水平方向各振動45分鐘,然后開機(只允許調零),用滿刻度值(40—60)%的任一種濃度標準氣,按6.6.1條做示值誤差試驗,再按6.6.7做報警點設置誤差試驗。
6.6.12 跌落對示值誤差和報警點設置誤差的影響試驗
按6.4條準備后關機,將儀器自100mm高處跌落到放置于水泥地面的30mm厚杉木板上,然后開機(只允許調零),用滿刻度值(40—60)%的任一種濃度標準氣,按6.6.1條做示值誤差試驗,再按6.6.7做報警點設置誤差試驗。
6.6.13 絕緣電阻試驗
使用交流電源的儀器,在小于85%相對濕度下,儀器不通電,用DC500V絕緣電阻計測量電源端子與外殼之間的絕緣電阻。
6.6.14 耐電壓性能試驗
使用交流電源的儀器,在小于85%相對濕度下,儀器不通電,在電源端子與外殼之間施加AC1000V電壓,持續1分鐘。
7 試驗(測試)報告
報告應包括下列內容:
a. 被檢儀器的名稱、型號、編號、 制造廠家和制造日期等;
b. 送檢單位、抽樣方式、抽樣時間和地點;
c. 試驗(測試)的環境條件(溫度、濕度等)和日期;
d. 標準氣名稱、濃度及不確定度;
e. 所使用的主要測試儀器的名稱及型號;
f. 試驗(測試)項目及其結果;
g. 檢驗結論。
8 檢驗規則
8.1 檢驗分類
8.1.1 出廠檢驗
8.1.2 型式檢驗
8.2 檢驗項目及判定規則
8.2.1 出廠檢驗
全部出廠儀器逐臺檢驗,檢驗項目為:示值誤差,零點漂移,報警點設置誤差、重復性、響應時間。若被檢項目全部合格則該臺儀器為合格,若有一項不合格,則該臺儀器為不合格,不合格儀器不得出廠。
8.2.2 型式檢驗
有列下情況之一時,應進行型式檢驗:
a. 新產品或老產品轉廠生產的試制定型鑒定;
b. 正式生產后,如結構、材料、工藝有較大改變,可能影響產品性能時;
c. 正常生產時定期或積累一定產量后,應周期性進行一次試驗;
d. 產品長期停產后,恢復生產時;
e. 出廠檢驗結果與上次型式檢驗有較大差異時;
f. 國家質量監督機構提出進行型式檢驗的要求時。
型式檢驗時,從庫存的合格儀器中任意抽取三臺按第6.6條規定的全部試驗方法進行檢驗,若被檢驗項目全部合格則該儀器型式檢驗合格,若有一項不合格則該儀器型式檢驗為不合格。
8.3 復檢規則
出廠檢驗不得復驗,對于型式檢驗,如任何一臺儀器出現一項指標不合格,允許復檢,兩項以上指標不合格不允許復檢,復檢應從該批產品中抽取加倍數量的儀器按不合格項目進行檢驗,若每臺儀器該項目檢驗均為合格,認為該儀器型式檢驗為合格,若有一臺儀器的該項目檢驗仍不合格,即認為該儀器的型式檢驗不合格。
附加說明:
本標準由化學工業部勞動安全司提出
本標準由化學工業部化工勞動保護研究所負責起草
主要起草人:陶悅玲 馬瑞嶺 高少華