1 主題內容與適用范圍
本標準規定了氧氣檢測報警儀的分類、技術要求、檢驗方法等。
本標準適用于氧氣檢測報警儀的質量評價、檢驗與選型。
2 引用標準
GB2421電工電子產品基本環境試驗規程 總則
GB3836.1爆炸性環境用防爆電氣設備 通用要求
GB3836.2爆炸性環境用防爆電氣設備 隔爆型電氣設備“d”
GB3836.4爆炸性環境用防爆電氣設備 本質安全型電路和電氣設備“i”
GB5274氣體分析校準用混合氣體的制備 稱量法
GB5275氣體分析校準用混合氣體的制備 滲透法
GB12358作業環境氣體檢測報警儀 通過技術要求
3 術語
3.1氧氣檢測報警儀(以下簡稱儀器)
用于監測作業環境氧氣含量的儀器。
3.2標定氣
含氧量為21%的空氣或用21%的氧氣和79%的氮氣配成的混合氣。
3.3標準混合氣(簡稱標準氣)
用純凈的氧氣和氮氣配制成的混合氣,其濃度和不確定度應為己知。
4儀器分類
表1 儀器分類表

5 技術要求
5.1結構要求
5.1.1防爆型的儀器必須符合GB3836.1、GB3836.2和GB3836.4的規定要求,并取得防爆檢驗合格證。
5.1.2儀器要堅固耐用,便于操作、維修、標定和校驗。
5.2功能要求
5.2.1儀器是否處于工作狀態應有明確的顯示。
5.2.2報警信號應有明顯的報警作用。
5.2.3設置多點監測報警的儀器應保證即使某一點在報警,而其它點出現報警條件時,也應該進行報警,并且能分別指示報警場所。
5.2.4連續式儀器應有故障報警功能。
5.3性能要求
5.3.1性能指標應符合表2要求
表2 性能指標

5.3.2溫度變化影響
按6.6.7試驗,示值誤差和報警點設置誤差應符合5.3.1要求。
5.3.3電源變化影響
按6.6.8試驗,示值誤差和報警點設置誤差應符合5.3.1要求。
5.3.4振動影響
按6.6.9試驗,示值誤差和報警點設置誤差應符合5.3.1要求。
5.3.5跌落影響
按6.6.10試驗,示值誤差和報警點設置誤差應符合5.3.1要求。
6 試驗
6.1技術文件的審查
送檢儀器應備有下列資料:
a. 產品標準或技術條件;
b. 使用說明書;
c. 其它有關材料。
6.2試驗條件
6.2.1環境溫度:15℃~35℃
6.2.2環境濕度:≤85%RH
6.2.3供電電源
a. 直流電源:額定值±10%
b. 交流電源:220V+10% 220V-15%
6.2.4周圍環境應無干擾檢測的因素
6.3儀器外觀、結構和功能檢查
a. 儀器外表涂層應色澤均勻,不得有明顯的擦傷、露底、裂紋及起泡現象;
b. 緊固件、開關、旋鈕等部件裝配應可靠,使用方便,性能良好;
c. 儀器的結構應符合5.1的要求;
d. 儀器的零點、量程、報警點三個電位器應調節方便,設置可靠;
e. 儀器通電檢查,其功能應符合5.2的要求。
6.4試驗前的準備
6.4.1試驗前儀器穩定時間
按儀器生產廠家規定的穩定時間。
6.4.2試驗前儀器標定
經過6.4.1條規定的穩定時間后,在通入標定氣的條件下調節儀器使指示值為21%(O
2)。
6.5試驗要求
6.5.1試驗前按6.4條做好準備。
6.5.2標準氣選用氧氣與氮氣的混合氣,氣體精度均要高于99.9%,配制出的標準氣的不確定度必須在±2%以內。
6.5.3試驗時通氣方式要嚴格模擬該儀器的使用情況。
a. 泵吸式儀器,標準氣流量要恒定在額定值,不應因入口壓力變化使其波動。
b.擴散式儀器,標準氣接觸檢測器的壓力要求恒定在常壓(大氣壓)或一個微小的壓力(其值不得超過100Pa),通氣流量要恒定。
6.6試驗項目及方法
6.6.1示值誤差試驗
a. 示值誤差
示值誤差即標準氣濃度值與指示值之差。
標值誤差=∣標準氣濃度-指示值∣
b. 試驗方法
用5%、10%、18%、21%的標準氣分別通入儀器,每種標準氣測試三次,記錄相應的指示值,誤差最大者即為示值誤差。
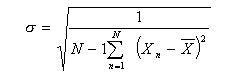
6.6.2重復性試驗
a. 重復性
在相同條件下,對同一檢測對象短時間內測量結果的重現性,用變異系數C.V表示。

式中:N:測量次數;

X
n:各次測量的指示值。
b. 試驗方法
在條件不變的情況下,用標定氣和15%—18%(O
2)之間的任意一種濃度的標準氣交替通放儀器六次,然后按上式計算。
6.6.3穩定性試驗
a. 穩定性
儀器在試驗條件下連續工作,在一定的時間內,其指示值的變化程度。
穩定性=∣X
max -X
min∣
b. 試驗方法:
將15%(O
2)濃度的標準氣通入儀器并按上式計算指示穩定性;
對于間斷式檢測的儀器,連續開關2小時,期間每隔0.5小時通入一次標準氣并記錄指示值,2小時內共做5次,按式計算穩定性;如此試驗3天。
對于連續式檢測的儀器,連續開機72小時,期間每隔4小時通入一次標準氣,共做19次,按上式計算穩定性。
6.6.4響應時間試驗
用21%(O
2)通入儀器,待穩定后,瞬時通入純凈氮氣并記時,到指示值降到2.1%(O
2)時為止,共做三次,取其平均值。
6.6.5恢復時間試驗
用純凈的氮氣通入儀器,待穩定后,瞬時通入21%(O
2)并記時,到指標值升到18.9%(O
2)時為止,共做三次,取其平均值。
6.6.6報警點設置誤差試驗
a. 報警點設置誤差
即報警信號發生時,儀器指示值和報警點設定值之間的誤差。
b. 試驗方法
儀器在通入標定氣的情況下,用低于報警點設置濃度2%(O
2)的標準氣通入儀器、待儀器發生報警信號時,記錄其指示值,共做三次,按下式計算報警點設置誤差:
報警點設置誤差=∣指示值—報警點設定值∣
max 6.6.7溫度變化對示值誤差及報警點設置誤差的影響試驗
將標定氣通入儀器,調節儀器使指示值為21%(O
2),然后把儀器放在溫濕試驗箱中,按小于每分鐘5℃的升溫或降溫速率將溫度及濕度先后控制在0℃和40℃(濕度在85%RH以內),各保持1小時,然后分別按6.6.1(取15%(O
2)標準氣)和6.6.6進行試驗。
6.6.8電源變化對示值誤差和報警點設置誤差的影響試驗
儀器在額定電源電壓情況下按6.4條規定準備好后,使電源電壓按6.2.3規定的極限值變化,然后分別按6.6.1(取15%(O
2)的標準氣)和6.6.6進行試驗。
6.6.9振動對示值誤差和報警點設置誤差的影響試驗
將儀器按6.4條規定準備好后關機并緊固在振動臺上,選取振動頻率為10~55Hz,振幅為0.15mm,掃頻時間為4.5分鐘,垂直和水平方向各振動45分鐘,然后開機(只允許調21%(O
2)點),按6.6.1(取15%(O
2)的標準氣)和6.6.6進行試驗。
6.6.10跌落對示值誤差和報警點設置誤差的影響試驗
將儀器按6.4條規定準備好后關機。然后自100mm高處跌落到置于水泥地面上30mm厚的杉木板上,然后開機(只允許調21%(O
2)點),按6.6.1《取15%(O
2)標準氣》和6.6.6進行試驗。
6.6.11絕緣電阻試驗
使用交流電的儀器,在小于85%相對濕度下,儀器不通電,用DC500V絕緣電阻計測量電源端子與外殼之間的絕緣電阻。
6.6.12耐電壓性能試驗
使用交流電的儀器,在小于85%相對溫度下,儀器不通電,在電源端子與外殼之間施加AC1000V電壓,持續1分鐘。
7 試驗(測試)報告
報告應包括下列內容:
a. 被檢儀器的名稱、型號、編號、制造廠家和制造日期等;
b. 送檢單位、抽樣方式、抽樣時間和地點;
c. 試驗(測試)的環境條件(溫度、濕度等)和日期;
d. 標準氣名稱、濃度及不確定度;
e. 所使用的主要測試儀器的名稱及型號;
f. 試驗(測試)項目及其結果;
g. 檢驗結論。
8 檢驗規則
8.1檢驗分類
8.1.1出廠檢驗
8.1.2型式檢驗
8.2檢驗項目及判定規則
8.2.1出廠檢驗
全部出廠儀器逐臺檢驗,檢驗項目為:示值誤差,報警點設置誤差、重復性、響應時間。若被檢項目全部合格則該臺儀器為合格,若有一項不合格,是該臺儀器為不合格,不合格儀器不得出廠。
8.2.2型式檢驗
有下列情況之一時,應進行型式檢驗:
a. 新產品或老產品轉廠生產的試制定型鑒定;
b. 正式生產后,如結構、材料、工藝有較大的改變,可能影響產品性能時;
c. 正常生產時定期或積累一定產量后,應周期性進行一次檢驗;
d. 產品長期停產后,恢復生產時;
e. 出廠檢驗結果與上次型式檢驗有較大差異時;
f. 國家質量監督機構提出進行型式檢驗的要求時。
型式檢驗時,從庫存的合格儀器中任意抽取三臺按第6.6條規定的全部試驗方法進行檢驗,若被檢驗項目全部合格則該儀器型式檢驗合格,若有一項不合格則該儀器型式檢驗為不合格。
8.3復檢規則
出廠檢驗不得復檢,對于型式檢驗,如任何一臺儀器出現一項指標不符合,允許復檢,兩項以上指示不合格不允許復檢,復檢應從該批產品中抽取加倍數量的儀器按不合格項目進行檢驗,若每臺儀器該項目檢驗均合格,認為該儀器型式檢驗為合格,若有一臺儀器的該項目檢驗仍不合格,即認為該儀器的型式檢驗不合格。
附加說明:
本標準由化學工業部勞動安全司提出
本標準由化學工業部化工勞動保護研究所負責起草。
主要起草人:韓中樞 馬瑞嶺 陶悅玲