? 保溫層厚度計算有A種方法,選擇介紹四種方法:經濟厚度法;直埋管道保溫熱力法;多層絕熱層法;允許降溫法。將計算結果經對比分析后選定厚度。
1. 保溫層經濟厚度法
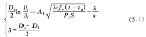
(1)厚度公式
?

式中 δ——保溫層厚度,m;
Do——保溫層外徑,m;
Di——保溫層內徑,取0.125m;
A1——單位換算系數,A1=1.9×10-3;
λ——保溫材料制品導熱系數,取0.028 W/(m·℃);
τ——年運行時間,取5840h;
fn——熱價,現取7元/106kJ;
t——設備及管道外壁溫度,不計玻璃鋼管酌保溫性能,取介質溫度55℃;
ta——保溫結構周圍環境的空氣溫度,取極端土壤地溫5℃;
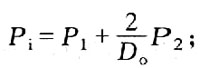
Pi——保溫結構單位造價,
Pl——保溫層單位造價,硬質聚氨酯泡沫塑料造價1700元/m3;
P2——保護層單位造價,玻璃鋼保護層取135元/m2;
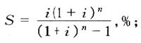
S——保溫工程投資貸款年分攤率,按復利率計息,
n——計算年限,取15年;
i——年利率(復利率),取7%;
a——保溫層外表向外散熱系數,取11.63W/(cm2·℃)。
用試差法,經計算δ=22.5mm。
(2)管道保溫層表面散熱損失
?

式中 q——單位表面散熱損失,W/m。經計算q=42.2 W/m,滿足國標GB 4272—84《設備及管道保溫技術通則》要求。
(3)溫降計算
?

式中 △t——卑位長度溫降,℃/km;
Q——流量,kg/h;
cp——比熱容,W·h/(kg·℃);
L——管長,km。
△t=0.15℃/km,滿足建設方提出的溫降要求。
(4)保溫結構外表面溫度
?

式中 ts——保溫層外表面溫度,℃。
經計算ts=9.44℃。
科技賦能,AI強安——談AI技術在石油…
危險化學品安全技術說明書(PDF版)
170種危險化學品安全技術說明書匯編
化工企業冬季安全生產須知——防火篇
化工企業冬季安全生產須知——防凍凝篇
有限空間作業如何預防窒息和中毒
有限空間作業切記注意安全!
夏季有限空間作業安全風險防范
危險化學品目錄(2015版)
危險化學品分類及其危險特性
對制度落實不到位的原因調查及解決辦…
職工安全生產的權利和義務
危險化學品的儲存
有限空間作業安全知識
柴油罐的存放
加油站安全知識手冊