一、點燃理論
為使可燃混合物著火燃燒,除前述的自燃著火外,工程上在燃氣燃燒器的燃燒過程中,更廣泛采用的是強制點火。
強制點火,一般指將一微小熱源放放可燃混合物系統中,使貼近熱源周圍的一層可燃混合物首先被迅速加熱,而開始燃燒,然后逐層依次地點燃,而使整個系統著火的現象。
強制點火和自燃著火的實質是一致的,都是燃燒化學反應由低速穩定的氧化反應轉變為高速不穩定的氧化反應,是燃燒化學反應急劇加速的結果。但在具體過程中,它們又有若干區別,諸如:
用點燃促使燃燒化學反應加速只在可燃混合物的局部范圍內進行;而自燃則在整個容器內的可燃混合氣中進行。
自燃需要一定的相對較高的外界溫度或器壁溫度T0;而點燃是可發生在外界溫度或器壁溫度遠低于能夠自燃的溫度下。為了保證能在較冷的混合氣中點燃,點燃溫度一般比自燃溫度要高。
可燃混合物能否被點燃,不僅取決于點燃體附面層內局部混合氣能否著火,而且還取決于點燃體周圍形成的燃燒火焰能否在混合氣中傳插,故點燃過程包括局部區域的著火和火焰的傳播,它要比自燃過程復雜得多。
工程上常用的點燃方法有,熾熱體點燃、小火焰點燃、電火花點燃、自燃點燃等。關于點燃理論,以熾熱體點燃研究較多,并偏重于在低速氣流中的點燃過程。對低速氣流而言,著火首先發生在熾熱物體表面的附面層內,形成火焰后向四周傳播。如圖3—2—3,一熾熱顆粒,進入低速(或靜止)可燃混合氣中,其表面溫度為TW,可燃混合氣溫度為T0,如果TW適當,則形成一穩定溫度場,溫度分布以b線表示。為了說明問題,假設灼熱體進入的介質為不可燃氣體,附面層內溫度分布如線a所示。a線在b線之下,界面處的溫度梯度a線比b線為大。
?

如果顆粒溫度升高,TW1>TW則溫度分布線b、a的差異更加顯著,a線更陡峭,b線更平坦,也就是對可燃混合氣而言,隨灼熱體溫度升高,附面層燃燒反應加劇,界面上的溫度梯度(dt/dx)x=0=0愈來愈小,灼熱體向附面層傳熱愈少。
當灼熱體表面溫度上升到一個臨界溫度Ti時,它使得(dJ/dx)x=0,灼熱體傳向可燃混合氣附面層的熱流為零,表明灼熱體己不再向可燃混合氣傳熱,在附面層中,可燃混合氣燃燒產生的熱量全部傳給未燃的可燃混合氣。
如果灼熱體溫度再升高,TW2>Ti,灼熱體附面層內的可燃氣的燃燒反應加快,在距灼熱體表面不遠處示出溫度極大值,一部分熱量傳向灼熱體,而大部分熱量流向周圍的可燃混合氣,使整個可燃混合氣被點燃。
這就是所謂的“零值邊界梯度”物理模型。臨界溫度Ti是實現點火時灼熱體應具有的最低溫度,稱之為強制點火的點火溫度。
二、熱球或熱棒點火
將灼熱石英球或鉑球投射入可燃混合氣中,當球體的溫度TW高于臨界點火溫度Ti時,即可點燃。實驗證明,熱球臨界點火溫度與下列變量有關:球體尺寸、表面催化特性、射入速度及可燃混合氣的化學動力特征等。
如圖3—1—4,熱球半徑r、溫度TW、以ω速度射入可燃混合氣,在熱球周圍形成厚度為δf的附面層,可燃混合氣熱值H、溫度T0、粘度μ、熱導率λ等。
?

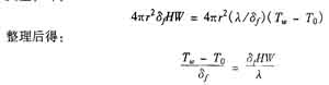
點燃臨界條件必須是附面層中化學反應(反應速度為W)產生的熱量等于該層的熱散失量,即:
?

臨界條件時,熱球溫度為TW=Ti,則(Ti-T0)/δf=δfHW/λ表明附面層中的溫度梯度是判斷點火的重要因素。
上式又可寫成
?

這里,δf為點火成功時,火焰層臨界厚度。
由傳熱學已知,當球體繞流的雷諾數Re和普朗特數Pr較高時,附面層厚度變小因而熱球壁面附近的溫度梯度就大。由于熱損失加大,而難于點火。
三、小火焰點火
所謂小火焰點火,是指點燃可燃混合氣所需的熱量,由點火小火焰供給。這時,引發點火的可能性取決于以下特性參數:可燃混合氣組成及性質;小火焰的特性尺寸、溫度;點火火焰與可燃混合物之間的接觸時間等。具體參數由實驗確定。
科技賦能,AI強安——談AI技術在石油…
危險化學品安全技術說明書(PDF版)
170種危險化學品安全技術說明書匯編
化工企業冬季安全生產須知——防火篇
化工企業冬季安全生產須知——防凍凝篇
有限空間作業如何預防窒息和中毒
有限空間作業切記注意安全!
夏季有限空間作業安全風險防范
危險化學品目錄(2015版)
危險化學品分類及其危險特性
對制度落實不到位的原因調查及解決辦…
職工安全生產的權利和義務
危險化學品的儲存
有限空間作業安全知識
柴油罐的存放
加油站安全知識手冊