?
灰黑粒子的輻射減弱系數
?

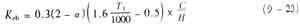
式中????
——燃氣中碳與氫質量成分的比值;
α——爐膛出口的空氣過剩系數。
對于負壓或正壓小于5kPa的爐膛,火焰的黑度可用線算圖3—9—14求得。
爐氣的和爐料表面的平均溫度(T1和T2)沿爐長或隨時間而有所變化,在進行爐膛熱交換計算時,可根據不同情況選取算術平均、幾何平均、拋物線平均值等。
?

(三)對流受熱面?zhèn)鳠嵊嬎?br />
為了回收煙氣余熱,燃氣工業(yè)爐尾部通常設有空氣預熱器、燃氣預熱器、余熱鍋爐等對流受熱面。在這些受熱面中,高溫煙氣主要以對流的方式放熱。由于煙氣中還含有三原子氣體和炭黑粒子,所以還應包括輻射放熱。
對流受熱面的傳熱計算以每小時煙氣的放熱量或每小時工質的吸熱量為計算基礎。對流受熱面的傳熱方程按通過該對流受熱面的傳熱量表示為;
?
式中 K——對流受熱面的傳熱系數,KW/(m2·K);
F——對流受熱面的計算傳熱面積,m2;
△t——煙氣與工質的平均溫差,K。
對流受熱面的熱平衡方程可表示為:
?
?

式中 Qb——在某一對流受熱面中,每小時煙氣傳給受熱面的熱量kJ/h;在穩(wěn)定傳熱情況下,它等于工質的吸熱量,也等于經過受熱面的傳熱量Qt;
ψ——考慮散熱損失的保溫系數;
Hi,l,Hi,2——每m3燃氣產生的煙氣進入和離開此受熱面時的焓,kJ/m3(干燃氣);
△αHoa——以每m3燃氣為單位,計及漏入空氣,所帶入的熱量kJ/m3(干燃氣);
B——每小時燃氣消耗量,m3(干燃氣)/h;
Lfl、Lf2——煙氣進入和離開此受熱面時的流量,m3/h;
cf1、cf2——煙氣進入和離開此受熱面時的平均定壓容積比熱容,kJ/(m3·K);
tf1、tf2——煙氣進入和離開此受熱面時的溫度,℃;
D——工質的流量,kg/h
H0,1,H0,2——工質在受熱面進口和出口處的焙,kJ/kg;
La——燃氣燃燒所需的實際空氣量,m3/h;
β——考慮管道不嚴密的漏風系數;
ca——空氣的平均定壓容積比熱容,kJ/(m3·K);
tal、ta2——空氣進入和離開此受熱面的溫度,℃。
式(9—25)~式(9—27)是對流受熱面計算的基本方程式。當已知對流受熱面的傳熱面積,而需要確定煙氣經放熱后的焓I2及相應的溫度tf2時,計算的關健在于確定傳熱系數K。
對流受熱面的一側是煙氣,另一側是工質(空氣、燃氣、水或蒸氣)。煙氣側的表面上,不可避免地有一層灰污,工質側的表面上常有水垢。為了計算傳熱系數K,除了必須確定煙氣對管壁的放熱系數、管壁對工質的放熱系數以外,還需妥確定考慮從污影響的有效系數ψ′和利用系數ξ。
對流受熱面上,高溫煙氣的輻射待熱量應考慮三原子氣體的輻射減弱。
?
科技賦能,AI強安——談AI技術在石油…
危險化學品安全技術說明書(PDF版)
170種危險化學品安全技術說明書匯編
化工企業(yè)冬季安全生產須知——防火篇
化工企業(yè)冬季安全生產須知——防凍凝篇
有限空間作業(yè)如何預防窒息和中毒
有限空間作業(yè)切記注意安全!
夏季有限空間作業(yè)安全風險防范
危險化學品目錄(2015版)
危險化學品分類及其危險特性
對制度落實不到位的原因調查及解決辦…
職工安全生產的權利和義務
危險化學品的儲存
有限空間作業(yè)安全知識
柴油罐的存放
加油站安全知識手冊