一、液化石油氣的狀態參數
液化石油氣所處的狀態,是通過壓力、溫度和體積等物理量來反映的,這些物理量之間彼此有一定的內在聯系,稱為狀態參數。
1.壓力
壓力是一物體垂直均勻地作用于另一物體壁面單位面積上力的量度。物理上用物體單位面積上受到的垂直壓力來表示,稱為壓強,用符號p表示。
p=F/A (1-2-1)
式中p——壓強,Pa;
F——均勻垂直作用在容器壁面的力,N;
A——容器壁面的總面積,m
2。
由于在工程實際中習慣地將壓強稱作壓力,因此,本書中后面提到的壓力,即指壓強。
測量壓力有兩種標準方法:一種是以壓力等于零作為測量起點,稱為絕對壓力,用符號“P絕”表示;另一種是以當時當地的大氣壓力作為測量起點,也就是壓力表測量出來的數值,稱為表壓力,或稱相對壓力,用符號“P表”表示。液化石油氣儲灌工藝所講的壓力都是指表壓力。
絕對壓力與表壓力之間的關系為
絕對壓力=表壓力+當時當地大氣壓力
(1)壓力的單位我國現行的法定壓力計量單位是國際單位制導出的壓力單位,即:帕斯卡(Pa),1Pa=1N/m
2。由于帕斯卡的單位太小(如:一粒西瓜子平放時對桌面的壓力約為20Pa,在實際中常使用兆帕斯卡(MPa)、千帕斯卡(kPa)。其關系為
1MPa=103kPa=106Pa
(2)壓力單位的換算在采取國際單位制以前,我國慣用的壓力單位有:標準大氣壓、工程大氣壓、毫米汞柱、毫米水柱及英制壓力單位等,其與法定單位的換算關系,見表1-2-4。
表1-2-4 壓力單位換算
千克力每平方厘米/(kgf/m2) | 帕斯卡/Pa | 巴/bar | 毫米汞柱/mmHg | 磅力每平方英寸/(1bf/in2) | 毫米水柱/mmH2O |
1 | 9.81×104 | 0.981 | 735.6 | 14.22 | 104 |
1×10-5 | 1 | 10-5 | 7.5×10-3 | 145×10-6 | 0.102 |
1.02 | 105 | 1 | 750 | 14.5 | 1.02×104 |
1.36×10-3 | 133.3 | 1.333×10-3 | 1 | 19.34×10-3 | 13.6 |
70.3×10-3 | 6.89×103 | 6.89×10-2 | 51.71 | 1 | 703 |
10-6 | 9.81 | 9.81×10-5 | 7.356×10-2 | 1.422×10 -3 | 1 |
2.溫度
溫度是物質分子進行熱運動的宏觀表現,它是對物體冷熱程度的量度。測量溫度的標尺稱為溫標。溫標的規定是選取某物質兩個恒定的溫度為基準點,在此兩點之間加以等分,來確定溫度單位尺度,稱為度。
由于對兩個基準點之間所作的等分不同,因此出現了不同的溫度單位。常用的有以下幾種。
①攝氏溫標(℃),攝氏度溫標又稱百度溫標,是瑞典人攝爾休斯最先提出的;
②華氏溫標(°F),華氏溫標是德國人華倫海特最早提出的;
③開氏溫標(K),開氏溫度又稱絕對溫度,是英國人開爾文最先提出的。
上述3種溫標的相互關系,如圖1-2-1所示。

?
圖1-2-1 3種溫標的關系
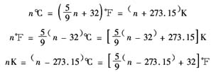
3種溫標的相互關系用公式表示為:
?
3.體積
體積是指一定數量的物質占據空間位置的大小。由于氣體總是要充滿所盛裝的容器,所以氣體的體積由盛裝容器的容積來決定。
常用的體積單位是m
3(立方米)和L(升)。
1m3=1000L
?
二、液化石油氣的物理特性
1.比體積、密度和相對密度
(1)比體積是指單位質量的某種物質所占有的體積,用符號υ表示,其表達式為:

?
式中υ——某種物質的比體積,m
3/kg;
V——該物質的體積,m
3;
m——該物質的質量,kg。
(2)密度是指單位體積的某種物質所具有的質量。由于液化石油氣的生產、儲存和使用中經常呈現氣態和液態兩種狀態,因此,液化石油氣的密度就有氣體的密度和液體的密度兩種之分。
①液化石油氣氣體的密度。其單位是以kg/m
3表示。它隨著溫度和壓力的不同而發生變化。因此,在表示液化石油氣氣體的密度時,必須規定溫度和壓力的條件。一些碳氫化合物在不同溫度及相應飽和蒸氣壓下的密度見表1-2-5。
表1-2-5 一些碳氫化合物在不同溫度及相應飽和蒸氣壓下的密度/(kg/m3)
溫度/℃ | 丙烷 | 正丁烷 | 異丁烷 |
-15 | 6.4 | 1.06 | 2.50 |
-10 | 7.57 | 1.85 | 3.04 |
-5 | 9.05 | 2.10 | 3.59 |
0 | 10.34 | 2.82 | 4.31 |
5 | 11.90 | 3.35 | 5.07 |
10 | 13.60 | 3.94 | 5.92 |
15 | 15.51 | 4.65 | 6.95 |
20 | 17.74 | 5.39 | 7.94 |
25 | 20.15 | 6.18 | 9.21 |
30 | 22.80 | 7.19 | 11.50 |
35 | 25.30 | 8.17 | 13.00 |
40 | 28.60 | 9.33 | 14.70 |
45 | 34.50 | 10.57 | 16.80 |
50 | 36.80 | 12.10 | 18.94 |
55 | 40.22 | 12.38 | 20.56 |
60 | 44.60 | 15.40 | 24.20 |
從表1-2-5 中可以看出,氣態液化石油氣的密度隨著溫度及相應飽和蒸氣壓的升高而增加。
在壓力不變的情況下,氣態物質的密度隨溫度的升高而減少,在101.3kPa下一些氣態碳氫化合物的密度見表1-2-6。