3. 威金斯型干式罐
威金斯(WIGGINS)型干式罐的主要部分有底板、側板、頂板、可動活塞、套筒式護欄、活塞護欄及為了保持氣密作用而特制的密封簾和平衡裝置等,如圖6-11所示。
?

底板及側板1/3高(外層密封簾和罐體的連接點)以下部分要求密封,側板1/3高以上至罐頂不要求密封,在此段罐壁上設置了一定數量的通風窗,并且沿豎向每隔1.8m處設有檢查門。通過檢查門可以進入套筒護欄頂部四周的人行道,人行道可以作為檢查工作用的安全平臺,在罐體外部另設旋梯以便走到門口。
罐頂是中間拱起的,四周設有欄桿扶手。為了防止活塞傾斜,滑輪是沿拱頂周圍按一定的間距排列的,滑輪上設有一端連到活塞而另一端連到外部平衡重塊的纜繩。外部平衡重塊是沿罐殼外壁上的導軌運行的,在一個平衡重塊上裝有指針,可以在垂直標尺上指示所儲存氣體的體積。
活塞上設置了一圈護欄稱為活塞護欄,它的構造是由支撐構件和特殊形狀的波紋圍板所組成。圍板的作用是使密封簾能夠卷開到套筒護欄的內表面上。套筒護欄的構造與活塞護欄相似,同時也裝有圍板,在圍板上的外層密封簾可以卷開到罐殼壁上。在活塞護欄及套筒護欄之間以及在套筒護欄與罐殼之間有足夠的間隙,故在活動部分之間沒有摩擦,活塞的升降運動非常靈活平穩,也很少傾斜。
密封簾的材料必須具有耐腐蝕性能,并且要有較好的力學性能(具有良好的彈性柑韌性)。
目前密封簾采用的材料是聚氯丁合成橡膠彈性體,并且由特殊的尼龍布加強而制成的。這種尼龍布具有很高的抗拉強度。
當活塞帶起在罐殼凸臺上的套筒護欄以后,燃氣的壓力略有增加,為了獲得較高的壓力,在活塞上面需加重塊。在整個活塞行程中,燃氣的壓力基本上保持不變,可達6000Pa。
威金斯型于式罐的各項參數如表6-2所示。
表6-2 威金斯型干式罐的各項參數
?
?
公稱容量/m3 | 直徑/mm | 高/mm | 鋼材耗量/t |
10000 | 28346 | 18898 | 220 |
50000 | 46573 | 38100 | 750 |
100000 | 59740 | 46939 | 1400 |
140000 | 65227 | 53340 | 1920 |
?
三、高壓儲氣罐
在高壓儲氣罐中燃氣的儲存原理與前述低壓儲氣罐有所不同,即其幾何容積固定不變,而是靠改變其中燃氣的壓力來儲存燃氣的,故稱定容儲罐。由于定容儲罐沒有活動部分,因此結構比較簡單。
高壓罐可以儲存氣態燃氣,也可以儲存液態燃氣。根據儲存的
介質不同,儲罐設有不同的附件,但所有的燃氣儲罐均設有進出口管、安全閥、壓力表、人孔、梯子和平臺等。
當燃氣以較高的壓力送入城市時,使用低壓罐顯然是不合適的,這時一般采用高壓罐。當氣源以低壓燃氣供應城市時,是否要用高壓罐則必須進行技術經濟比較后確定。
高壓罐按其形狀可分為圓筒形和球形兩種。
1. 儲罐的構造
(1) 圓筒形罐的構造
圓筒形罐(圖6-12)是由鋼板制成的圓筒體和兩端封頭構成的容器。封頭可為半球形、橢圓形和碟形。圓筒形罐根據安裝的方法可以分為立式和臥式兩種。前者占地面積小,但對防止罐體傾倒的支柱及基礎要求較高。后者占地面積大,但支柱和基礎做法較為簡單。如果罐體直接安裝在混凝土基礎上時,其接觸面之間由于容易積水而加速罐的腐蝕,故臥式儲罐罐體都設鋼制鞍式支座。支座與基礎之間要能滑動,以防止罐體熱脹冷縮時產生局部應力。
?

(2) 球形罐的構造
球形罐通常由分瓣壓制的鋼板拼焊組裝而成。罐的瓣片分布頗似地球儀,一般分為極板、南北極帶、南北溫帶、赤道帶等。罐的瓣片也有類似足球外形的。這兩種球形罐如圖6-13所示。
球形罐的支座一般采用赤道正切式支柱、拉桿支撐體系,以便把水平方向的外力傳到基礎上。設計支座時應考慮到罐體自重、風壓、地震力及試壓的充水重量,并應有足夠的安全系數。
燃氣的進出氣管一般安裝在罐體的下部,但為了使燃氣在罐體內混合良好,有時也將進氣管延長至罐頂附近。為了防止罐內冷凝水及塵土進入進、出氣管內,進出氣管應高于罐底。
為了排除積存于罐內的冷凝水,在儲罐的最下部,應安裝排污管。
在罐的頂部必須設置安全閥。
儲罐除安裝就地指示壓力表外,還要安裝遠傳指示控制儀表。此外根據需要可設置溫度計。
儲罐必須設防雷靜電接地裝置。
儲罐上的人孔應設在維修管理及制作儲罐均較方便的位置,一般在罐頂及罐底各設置一個人孔。
容量較大的圓筒形罐與球形罐相比較,圓筒形罐的單位金屬耗量大,但是球形罐制造較為復雜,制造安裝費用較高,所以一般小容量的儲罐多選用圓筒形罐,而大容量的儲罐則多選用球形罐。
2. 儲氣量的計算
高壓儲氣罐的有效儲氣容積可按下式計算:
?

式中V——儲氣罐的有效儲氣容積,m3;
Vc——儲氣罐的幾何容積,m3;
?p——最高工作壓力,MPa
pc——儲氣罐最低允許壓力,MPa,其值取決于罐出口處連接的調壓器最低允許進口壓力;
p0——大氣壓,MPa。
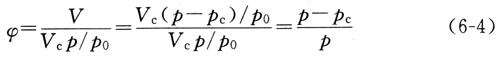
儲罐的容積利用系數,可用下式表示:
?

通常儲氣罐的工作壓力已定,欲使容積利用系數提高,只有降低儲氣罐的剩余壓力,而后者又受到管網中燃氣壓力的限制。為了使儲罐的利用系數提高,可以在高壓儲氣罐站內安裝引射器,當儲氣罐內燃氣壓力接近管網壓力時,就開動引射器,利用進入儲氣罐站的高壓燃氣的能量把燃氣從壓力較低的罐中引射出來,這樣可以提高整個罐的容積利用系數。但是利用引射器時,要安設自動開閉裝置,否則管理不妥,會破壞正常工作。
四、高壓儲配站
?
圖6-14所示是天然氣門站。在低峰時,由燃氣高壓干線來的燃氣一部分經過一級調壓進入高壓球罐,另一部分經過二級調壓進入城市;在高峰時,高壓球罐和經過一級調壓后的高壓干管來氣匯合經過二級調壓送入城市。為了提高儲罐的利用系數,可在站內安裝引射器,當儲氣罐內的燃氣壓力接近管網壓力時,可以利用高壓干管的高壓燃氣把燃氣從壓力較低的罐中引射出來,以提高整個罐站的容積利用系數。為了保證引射器的正常工作,球閥7(a)、(b)、(c)、(d)必須能迅速開啟和關閉,因此應設電動閥門。引射器工作時,7(b)、7(d)開啟,7(a)、7(c)關閉。引射器除了能提高高壓儲罐的利用系數之外,當需要開罐檢查時,它可以把準備檢查的罐內壓力降到最低,減少開罐時所必須放散到大氣中的燃氣量,以提高經濟效益,減少大氣污染。
為了保證儲配站正常運行,高壓干管來氣在進入調壓器前還需除塵、加臭和計量。