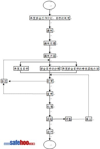
煤炭集團安全監察部工作計劃、目標策劃流程圖
?

?
1年度安全工作計劃、目標的制定
1.1編制
1.1.1安全監察部部長在年初召開有分管副總經理(總工)參加的工作會議,由分管副總經理(總工)和安全監察部部長就年度公司安全總目標及指標分解提出總體思路,并通過會議形成一致意見。
1.1.2安全監察部綜合業務科科長根據會議意見進行初稿的草擬。
1.2編制的依據
1.2.1國家及政府部門有關安全生產的方針、政策。
1.2.2市生產委員會對公司的安全考核指標。
1.2.3集團公司下達的安全考核指標。
1.2.4公司生產、運輸、經營各環節的實際情況。
1.2.5總經理、總工程師對安全指標的意見。
1.3編制的內容
1.3.1制定公司年度安全總目標。
1.3.2各生產、經營單位年度安全目標的分解。
1.3.3制定年度安全目標的考核實施辦法。
1.4審核、修改、批準
1.4.1初稿完成后,綜合業務科科長報安監部部長和總工程師審核,并根據其審核意見進行修改完善。
1.4.2經修改后的討論稿,下發各有關部門討論征求意見。綜合業務科科長根據意見反饋內容進一步完善,并報安監部部長審核和總工程師審定。
1.4.3安監部部長將審定的年度工作計劃、目標方案提交總經理和公司安全委員會批準。
1.5考核指標的調整
1.5.1因國家政策等不可預見因素而導致安全目標無法實現時,實施部門可以文字形式提出對考核指標的調整意見,并說明其調整的原因和理由。
1.5.2公司安全總目標的調整由總工程師和安監部部長提出;各生產、經營部門的安全考核指標的調整由其第一負責人提出。
1.5.3總經理對安全目標和考核指標是否調整進行審批。
1.5.4公司安全委員會對調整后的安全目標和考核指標進行審批。