高速公路聯網控制安全車速管理技術初探
作者:馬璐1 周健2 劉敏3
來源:重慶交通科研設計院
評論: ?
收藏本頁
摘要:車速是道路安全運營管理控制的核心,當前國內限速方法普遍采用的設計車速限制法和85%分位車速限制法,這些方法不能有效的和高速公路聯網控制系統相結合,具有一定的缺點。本文建立了安全車速管理控制模型,采用了串行并行混合控制技術,其算法高效、直觀、切合實際,能夠讓車速安全管理和高速公路聯網控制系統緊密結合,為有效解決安全、效率的矛盾提供了一點思路。
?
關鍵詞:車速 安全 聯網控制
0.引言
車速管理是高速公路聯網控制中的重要內容,對車速進行有效的控制、管理也是提高道路運營安全性和運輸效率的有效手段。道路交通運行需要安全和有效兩者兼顧,但是安全、有效則又是道路交通系統面臨的一對矛盾。目前,我國高速公路的限制車速規定依據不充分、取值也不規范,有的高速公路甚至全線采用一個限制車速值。考慮到高速公路沿線不同的行車狀態變化,在全線采用一個不變的限速不僅不合理,同時也不利于運行的經濟和安全.因此,有必要討論高速公路安全車速的限制技術,使得高速公路車速管理能夠更好的融入高速公路聯網控制系統中去。
1.車速與安全的關系
超速行駛事故率高的原因在于,車輛的車速與平均車速的差值偏大,即車速分布越離散,事故率就會越高。大多數關于車速對事故影響的統計研究都認為,車速提高將導致事故數量上升:另外,這些研究達成這樣一個共識,即車速對嚴重事故的影響要大于輕微事故。
2.目前我國常用車速限制方法的缺陷
目前,我國運營高速公路采用的限速方法一般有兩種:設計車速限制與85%分位車速限制法。近年來,道路交通管理部門逐漸意識到,選用設計速度作為限制速度是非常不合理的。
據我們的調查,大多數人認為當前高速公路及高等級公路中采用設計車速作為限制車速的標準是不當的,特別是在新開通的路段和車流量達不到運量期指標的路段, 限制車速使用設計車速時,認為過于保守的人更多。對于這樣一種狀況,一旦確定路線的限制車速,大多數情況下,是無法更換或取代的。盡管道路設計者明知設計車速和限制車速的起點不同,且又互相聯系,但因為在路線開通時,一般都用設計車速作為限速值,而各種安全設施的使用,車流量的實際了解,各種其它因素的明確,再通過實地觀測地定點單車自由流車速的85%分位車速作為修正限速值,實際難以辦到。
正是由于上述原因,道路設計人員無法參與從統計的角度加以修正限制車速的工作。導致當前高速公路及高等級公路限速限值往往過低,造成許多駕駛員都反映在良好氣候路況以及比較安全的情況,即營運車速超過限制車速(使用設計車速)也不會造成不安全的情況下,仍然要用設計車速來確定限制車速的原因。
3.安全車速管理控制模型
合理地限制車速是確保公路安全、高效運營必不可少的措施,確定車速限制值的方法有很多,各國的確定方法通常考慮下列因素:85%位車速、交通法規、安全狀況、道路兩側土地的開發程度、停車和行人、交通量和車輛組成、設計車速、公眾意見、曲線的安全速度、可見度限制、路面特性和道路寬度、路肩類型和寬度、交叉口數量、現有的交通控制設施以及平均車速。本文嘗試建立可變限速模型對路段進行車速管理。
車輛在某一路段的限速需要從三個方面考慮:即各限速要素及其加權、各要素共同作用時采用的串并行控制關系以及車型加權等。因此,可變限速數學模型就是研究上述三個方面關系所建立的數學算式。
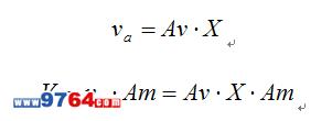
1)單純串行控制模型
為便于計算,單純串行控制的數學模型采用矩陣算式的形式。其基本思想是:首先由限速要素及其加權值進行矩陣乘法運算,得到一個限速基數值(限速標量),再由限速標量和車型限速加權矩陣進行矩陣乘法運算,得到限速矩陣,限速矩陣中各元素分別表示對應車型的限速值。
單純串行控制的數學模型的特點是限速標量大小與每個限速要素相關。其數學算式為:
?

?