摘要:基于強度理論和彈性穩定理論,給出了不同壓力等級、壁厚、公稱管徑為500~1400mm的直埋熱水供熱管道局部穩定控制循環溫差、最大允許循環溫差和屈服溫差曲線,建立了管道工作狀態分區圖,對各區域管道的最大允許安裝長度和彈、塑性工作狀態進行了研究。提出了在防止大管徑直埋供熱管道產生局部屈曲的前提下,增大管道最大允許安裝長度的措施。
關鍵詞:大管徑直埋管道;局部屈曲;循環溫差;安裝長度
Research on Working State and Safety of Large-diameter Directly Buried Heat-supply Pipeline
SUN Jinpeng
Abstract:Based on the strength theory and elasticity stability theory,the curves of local stability circulation temperature difference,maximum circulation temperature difference and yield temperature difference for directly buried hot water heat-supply pipeline with different pressures and wall thicknesses and nominal diameter of 500 to 1400mm are given.The zone diagrams for working state of the pipeline are established,and the maximum allowable installation length and the elastic and plastic working states of the pipeline sections in different zoues are researched.Measures for increasing the maximum allowable installation length are proposed based on preventing local buckling of large-diameter directly buried heatsupply pipeline.
Key words:large-diameter directly buried pipeline;local buckling;circulation temperature difference;installation length
1 概述
???隨著我國經濟和集中供熱的發展,大管徑(DN1400mm)、高溫(150℃)、高壓(2.5MPa)直埋熱水預制保溫管道日益普及,此類直埋管道可能出現的失效方式包括強度失效和穩定失效。強度失效包括內壓和持續外荷載引起的一次應力產生的塑性變形,溫度變化引起的二次應力產生的循環塑性變形,以及在溫度變化過程中應力集中產生的疲勞破壞[1]。基于安定性分析理論,文獻[2]、[3]分別針對DN 500mm及DN 1000mm以下管道的強度失效和設計方法進行了探討。
??? 除強度失效外,直埋供熱管道可能出現整體失穩或局部失穩。當公稱直徑大于500mm時,管道局部屈曲出現的概率將大大增加,管道局部將產生較大的變形,導致局部褶皺。其直接原因是溫差作用下管道的軸向應變,取決于熱脹變形的大小和熱脹變形的釋放程度。同時,局部屈曲出現的可能性與管徑和壁厚緊密相關,隨著壁厚的增加,產生局部失穩的可能性減小,而隨著管徑的增大則更易發生局部失穩。
??? 因此,如何將強度分析理論與局部穩定分析理論相結合,綜合考慮壓力、循環溫差、管徑、壁厚對管道工作狀態和安全性的影響,成為大管徑預制保溫管直埋敷設研究中亟待解決的問題。
2 3種控制溫差曲線
根據經典的彈性穩定理論,參考鋼制壓力容器的分析設計標準,直埋管道局部屈曲的許用軸向臨界壓應力計算公式為[4]:
?

式中σcr——許用軸向臨界壓應力,MPa
??? E——鋼材的彈性模量,MPa
??? δ——管道壁厚,MPa
??? R——管道外半徑,mm
根據一次應力和二次應力共同作用下的安定性分析理論[3],管道的應力變化不應超過其基本許用應力的3倍,因此可以得到局部穩定控制循環溫差△tcr,見式(2)。
?

式中△tcr——局部穩定控制循環溫差,℃
??? σall——直埋管道的基本許用應力,MPa
??? υ一一管材的泊松數
??? σt——內壓作用在管壁上的環向應力,MPa,計算公式見式(3)
α——鋼材的線膨脹系數,K-1
?

式中p——管道的工作壓力,MPa
??? D0——管道外直徑,mm
??? D1——管壁減薄后的內直徑,mm,取值方法參見文獻[3]
??? 設計壓力為1.6MPa和2.5MPa時,不同管徑和壁厚管道的局部穩定控制循環溫差見圖1、2。
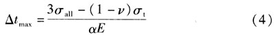
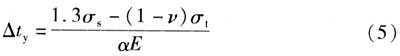
基于安定性分析理論,文獻[3]給出了不同管徑和設計壓力下管道的最大允許循環溫差△tmax與屈服溫差△ty的計算方法,見式(4)、(5)。這兩種溫差也與管道壁厚密切相關。設計壓力為1.6MPa,不同管徑和壁厚管道的最大允許循環溫差、屈服溫差分別見圖3、4。
?

式中σs——管道的屈服極限,MPa
