表1 住宅燃氣系統故障樹符號說明
Tab.1 Symbol meanings of fault tree for resience gas system
?
| 符號 | 事件 | 符號 | 事件 |
| T | 住宅燃氣系統故障 | F5 | 傳感器失效 |
| B1 | 著火爆炸 | F6 | 電磁閥失控 |
| B2 | 中毒 | F7 | 燃氣泄漏報警系統使用不當 |
| A1 | 燃氣設備安全裝置失靈 | F8 | 近材缺陷 |
| A2 | 燃氣泄漏 | F9 | 連接件缺陷 |
| A11 | 熄火保護裝置失靈 | F10 | 閥門缺陷 |
| A12 | 燃氣泄漏報警系統失靈 | F11 | 籬工不當 |
| F1 | 存在明火源 | F12 | 驗收不規范 |
| F2 | 熄火保護裝置過使用壽命期 | F13 | 排煙不暢 |
| F3 | 熄火保護裝置質量缺陷 | F14 | 燃燒器質量缺陷或故障 |
| F4 | 熄火保護裝置使用不當 | F15 | 燃氣質量缺陷 |
4.2 住宅燃氣系統故障樹頂事件概率計算
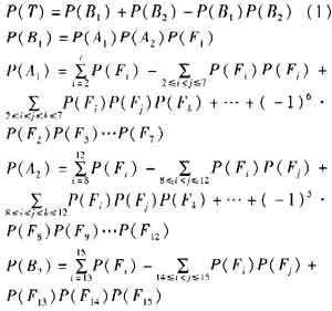
住宅天然氣系統故障樹頂事件概率計算式為:
?

式中 P(T)——頂事件(即住宅燃氣系統事故)發生的概率
P(B1)——著火爆炸的概率
P(B2)——中毒的概率
P(A1)——燃氣設備安全裝置失靈的概率
P(A2)——天然氣泄漏的概率
P(Fi)——i(i=l,2,…,15)底事件發生概率底事件概率的確定有多補方法:對有些底事件,已經積累了豐富的統計數據,可以直接從數據庫中獲取相關參數來計算其發生概率,這類結果比較客觀準確。另外一些底事件統計數據比較少或根本沒有,對此可以采用智暴法、德爾菲法等專家調查法,利用專家的知識獲取其發生的概率。由于這種發生慨率具有主觀性,所以稱為主觀概率。
獲得故障捌中各底事件的發生概率后,可以利用式(1)計算頂事件的發生概率和底事件概率的重要度和臨界重要度。根據底事件的概率重要度和臨界重要度即可找出導致住宅燃氣系統事故發生的最重要因素,可為住宅燃氣系統的維修和管理提供指導,提高系統的安全性和可靠性。
5 住宅燃氣系統事故危害程度的評估
燃氣一旦發生泄漏升與空氣形成爆炸性混合氣體,遇熱源或明火即有燃燒和爆炸的危險。即使沒有熱源或明火,當混合氣體中燃氣體積分數達到25%~30%時,人就會窒息或中毒,嚴重時導致死亡。
如果燃氣應用設備中的燃燒器本身設計存在缺陷導致燃燒不完全,就會產生CO等有毒氣體。如果住宅通風不好,積累的CO就會導致人中毒死亡。另外,如果住宅通風不好,燃氣沒備中燃燒器排出的煙氣無法及時排山室外,隨著室內空氣中煙氣濃度的增加,氧含量下降,會導致燃燒缺氧產生CO等有毒氣體。
民用燃氣都經過加臭處理,泄漏時如果家中有人則容易發現并及時處理。如果家中沒人或人在睡覺,則泄漏的燃氣容易積聚在室內(尤其在冬天),一旦遇明火就容易引發著火爆炸事故:由于住宅類似一個密閉空間(門窗都比較結實),一旦發生爆炸,其后果不堪設想。盡管窗戶震破可以泄壓,一定程度上緩解了爆炸的沖擊力,但室內人員還是很難幸免,家中財產也會受到損失。
6 安全措施及建議
① 住宅燃氣系統工程必須由專業人員實施
住宅燃氣系統工程實施過程要由專人監督,包括材料的選擇和施工方案的確定。嚴格按有關規程驗收,防止私拆私裝燃氣管道的不安全做法。
② 加強安全教育,提高用戶安全和消防意識
以多種形式對燃氣用戶開展安全教育,使用戶掌握基本的燃氣安全知識,提高安全意識,同時,應鼓勵燃氣用戶購置簡易消防器材,并學會使用。
③ 采用技術手段提高系統的安全運行水平
要讓用戶充分認識到必須安裝燃氣安全裝置。即使設置了安全裝置,也不能掉以輕心,必須對燃氣安全裝置定期維護和更換。
④ 加強燃氣應用設備的質量監督
市場競爭激烈有利于燃氣設備質量的提高,但也難免魚龍混雜,燃氣公司應該與城市燃氣管理部門共同配合,嚴格把好質量關。
⑤信息管理
燃氣公司宜建立各用戶燃氣系統運行狀況的信息庫,為今后更加準確進行住宅燃氣系統安全評估積累資料。
參考文獻:
??? [1] 鄭津洋,馬夏康,尹謝平.等.長輸管道安全風險辨識、評價.控制[M].北京:化學工業出版社,2004.
???
?
常壓爐拆除風險評價及控制措施
廢棄海洋石油平臺的拆除
化工工藝設計風險防范措施研究
加油卡風險分析及應對措施
美國農藥生態風險評價技術
石油工程風險管理措施探討
催化裂化氣壓機喘振原因分析及解決措施
催化氣壓機出口冷卻器換熱管開裂原因…
長輸燃氣管道的安全保護距離
危險化學品安全措施和應急處置
加油站重大危險源分級管理與風險控制…
天然氣管道安全置換方法的探討
淺談加油站安全管理
危化品生產企業安全管理方法
淺議化工企業安全生產管理
化工火災危險性分析