第1類:若指標Ai劣化將促使上一級指標Ai劣化,而指標Aij優化對促進指標Ai優化作用不大,則權重分配時,應當給予指標Aij以“懲罰”,即指標Aij狀態越差分配的權重越大,以防止其過分劣化。
第2類:若指標Aij優化將促進上一級指標Ai優化,而指標Aij劣化對促使指標Ai劣化作用不大,則權重分配時,應當給予指標Aij以“激勵”,即指標Aij狀態越好分配的權重越大,以促進其不斷優化,但不應由于個別指標優化過分增大其權重而掩蓋了其他指標的不利影響。
第3類:若指標Aij劣化將促使上一級指標Aij劣化,指標Aij優化將促進指標Ai優化,二者作用相當,則為安全起見,按第1類處理。
第4類:若指標Aij優化對促進上一級指標Ai優化作用不大,而指標Aij劣化對促使指標Ai劣化作用也不大,則這種情況可以取消該指標。
按照上述指標分類原則,根據狀態變權原理[12~14],構造狀態變權向量:
?
? 則得到變權模型為:
式中S——狀態變權向量
sj——狀態變權向量S中的第j個元素
aλ——變權系數,下標λ取1、2時分別對應對指標的“激勵”、“懲罰”
xj——指標Xj的分值,當指標Xj無下級指標時,xi=xj(c);當指標Xj有下級指標時, xj=xj(V)
xj(V)——指標Xj與變權對應的評分值,若該指標有下級指標,則可按變權與下級指標評分值計算得到
u——指標評分標準中最高分值
wj(V)——指標Xj對應的變權權重
wk(c)——指標Xk對應的常權權重
??? sk——狀態變權向量S中第k個元素
對變權模型的說明如下:
① 0<a1<1,wj(V)隨xj減小而增大。當指標Xj評分值xj減小時,即該指標狀態優化,賦予權重wj(V)增大,即對該指標進行“激勵”。
② a2>1,wj(V)隨xj增大而增大。當指標Xj評分值xj增大時,即該指標狀態劣化,賦予權重wj(V)增大,即對該指標進行“懲罰”。
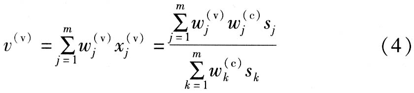
由此,結合式(3)對式(1)進行改進,進一步得到事故易發性變權評價模型為:
式中v(V)——據變權模型得到的事故易發性評價結果
變權模型的公式(3),將權重分配對指標的“懲罰”與“激勵”功能統一到一個公式,實際上是一個混合型的變權模型。aλ的取值根據指標的類型與影響程度大小決定,一般情況下可取a1=0.25,a2=4。有些情況下指標影響比較突出,若指標Xj屬第1類,并且其劣化促使事故發生的作用遠大過其優化防止事故發生的作用時,a1值就可以取大一些,以使權重分配時突出對該指標的“懲罰”。
4 應用實例
某燃氣輪機壓氣機采用分軸式結構,壓比為8.3級。發生喘振事故前檢查,低壓可調噴嘴動作正常,壓氣機出口壓力變送器設定點漂移調整正常,燃料控制閥無卡澀,噴嘴無積碳,氣流通道有一定結垢,部件的試驗表明液壓系統正常,解體檢查發現排氣蝸殼內襯靠近低壓透平端的氣封墊圈變形并從固定槽中凸起而與低壓透平葉片產生摩擦[5、15];從低壓可調噴嘴動作正常可以推斷液壓系統正常;文獻[5、15]中對防喘放氣系統、進口導葉系統及各類儀表、監測裝置狀況并未提及,也沒有將其作為事故原因,因此本文認為其處于正常狀態。根據這些情況獲取的信息按表1中的評分規則整理出的數據見表2,應用本文方法對其進行評價,其結果見表2。
表2 評價指標權重及評分值
?
指標 | X1 | X2 | X31 | X32 | X3 | X4 | X51 | X52 | X53 | X541 | X542 | X543 | X544 | X545 |
wj(c) | 0.10 | 0.10 | 0.60 | 0.40 | 0.20 | O.10 | 0.10 | 0.10 | 0.10 | 0.30 | 0.10 | 0.20 | 0.20 | 0.10 |
xj(c) | 3.O | 2.0 | 1.0 | 3.0 | 1.8 | 4.0 | 2.0 | 2.0 | 2.0 | 2.0 | 2.O | 2.O | 2.0 | 2.0 |
wj(v) | 0.124 | 0.031 | 0.086 | 0.914 | 0.195 | 0.495 | 0.100 | 0.100 | 0.100 | 0.300 | 0.100 | 0.200 | 0.200 | 0.100 |
xj(v) | 3.000 | 2.000 | 1.000 | 2.ooO | 2.828 | 4.000 | 2.000 | 2.000 | 2.000 | 2.000 | 2.000 | 2.000 | 2.000 | 2.000 |
指標 | X546 | X54 | X55 | X5 | X61 | X62 | X63 | X6 | X71 | X72 | X73 | X7 | X8 | ? |
wj(c) | O.10 | 0.40 | 0.30 | 0.15 | O.30 | 0.30 | 0.40 | 0.10 | 0.20 | 0.40 | 0.40 | 0.15 | 0.10 | ? |
xj(c) | 2.0 | 2.0 | 2.0 | 2.0 | 2,0 | 2.0 | 2.0 | 2.O | 2.0 | 2.O | 2.0 | 2.0 | 2.0 | ? |
wj(v) | 0.100 | 0.400 | 0.300 | 0.046 | 0.300 | 0.300 | 0.400 | O.031 | 0.200 | 0.400 | 0.400 | 0.046 | 0.031 | ? |
xj(v) | 2.000 | 2.000 | 2.000 | 2.000 | 2.000 | 2.000 | 2.000 | 2.000 | 2.O00 | 2.000 | 2.000 | 2.000 | 2.000 | ? |
據表1,評價結果為1~4,1表示評價對象狀態優,2表示評價對象狀態正常,3表示評價對象狀態劣化,4表示評價對象狀態嚴重劣化。按式(1),得常權模型評價結果:v(c)=2.26,認為喘振事故發生可能性不大,系統尚處正常狀態附近。按式(4),得變權模型評價結果:v(v)=3.31,認為系統已偏離正常狀態很遠,存在很大的發生事故的可能性。事實情況是,在對燃氣輪機進行檢查后不久發生了嚴重的喘振事故。由此在一定程度上可以認為,變權評價模型的評價結果更科學,更符合實際情況。
需要說明的是:表1中指標除X8、X54、X72分類為第2類外,其余均為第1類,分別取a1=0.25,a2=4;部分指標有下級指標,則按變權權重計算得到的指標分值xj(v)不同于按常權權重計算得到的分值xj(c)。
5 結論
① 在燃氣電廠危險性分析的基礎上,分析了其典型事故模式。以燃氣電廠喘振事故模式易發性評價方法為例,提出了燃氣電廠危險性評價思路,對于保障燃氣電廠安全運行提供了一種科學可行的辦法。
??? ② 針對常權評價模型權重分配中存在的缺陷,根據狀態變權原理,建立了一個融“懲罰”和“激勵”于一體的變權評價模型。通過某事故案例的應用,證明變權評價模型能夠在更大程度上體現評價的科學性、合理性和指標的導向作用。
參考文獻:
[1] 楊順虎.燃氣-蒸汽聯合循環發電設備及運行[M].北京:中國電力出版社,2003.
[2] 徐通模.中國鍋爐安全科技研究現狀與發展[J].中國特種設備安全,2006,22(5):3-8.
[3] 張琪.燃機電廠的出路與危機—廣東省200億元電力投資面臨生死關[J].新財經,2006,(9):80-82.
[4] 董仕坦,杜善毅.廈門燃氣電廠2號機壓氣機故障處理及大修[J].燃氣輪機技術,1995,8(2):39-45.
[5] 尹琦嶺,劉金斗,易明新,等.MSl002D燃氣輪機熱通道部件嚴重損壞原因分析[J].天然氣與石油,2003.21(4):50-53.
[6] 華尋.用20%的時間獲取80%的成效[J].企業管理,2004,(10):50-51.
[7] BLANCHINIA F,GANNATTASIOBL F. Adaptive control of compressor surge insta bility [J].Automatics,2002,(38):1373-1380.
[8] 焦樹建.燃氣-蒸汽聯合循環[M].北京:機械工業出版社,2000.
[9] 成松柏,陳國華.高風險社會及其對策研究[J].災害學,2007,22(1):18-22.
[10] 鄭世平.供電企業安全性評價(碩士學位論文)[D f北京:華北電力大學,2006.
[11] 董玉亮,顧煜炯,肖官和,等.大型汽輪機組變權綜合狀態評價模型研究[J].華北電力大學學報,2005,32(2):46-49.
[12] 崔紅梅,谷云東,孫魁明,等.關于狀態變權公理體系的注記[J].北京師范大學學報(自然科學版),2004-,40(1):1-7.
[13] 劉文奇.均衡函數及其在變權綜合中的應用[J].系統工程理論與實踐,1997,(4):58-65.
[14] 李德清,李洪興.狀態變權向量的性質與構造[J].北京師范大學學報(自然科學版),2002,38(4):455-461.
[15] 尹琦嶺,劉金斗,郭峰,等.MSl002D燃氣輪機壓縮機喘振故障分析與排除[J].流體機械,2002,30(7):33-35.