??? 從圖1可以看出,在每一條從a到s的計算路徑之上的各事件發生概率之積構成了一個室內燃氣系統的安全概率;而各計算路徑的室內燃氣系統的安全概率之和又構成了室內燃氣安全系統的可靠度Rs,具體計算見式(1)。
????
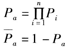
??? 因為
??? 
??? 所以
??? 
式中Pi——室內燃氣系統各組件中第i個組件的
??? 正常工作概率,i=1,2,…,n
??? 由式(2)可以得到,尺;隨Pi、Pc、Pd、Pe的增加而增大,隨Pb的增加而減小。即室內燃氣安全系統的可靠度隨室內燃氣系統各組件、燃燒器燃燒火焰、熄火保護裝置、燃氣報警器正常工作概率的增加而增大,隨燃氣灶使用概率的增加而減小。
4 不同室內燃氣安全系統可靠性比較
??? 室內燃氣安全系統隨組成元件的不同而不同。在分析比較時,注意到室內燃氣系統各組件在室內燃氣安全系統中始終存在,因此其正常工作的概率Pa只有大小的不同,且只有在失效的條件下Pa=0。而對于熄火保護裝置或燃氣報警器,當不采用時,其概率Pd=0或Pe=0。由此得到3種室內燃氣安全系統類型及其可靠度。
??? ① 系統類型1,僅由室內燃氣系統構成,其可靠度為:
??? 
??? ② 系統類型2,由系統類型1和熄火保護裝置構成,其可靠度為:
??? 
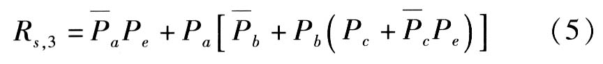
? ?③ 系統類型3,由系統類型1和燃氣報警器構成,其可靠度為:
??? 
式中Rs,1——系統類型1的可靠度
??? Rs,2——系統類型2的可靠度
??? Rs,3——系統類型3的可靠度
??? 為了便于對各個系統類型的可靠度進行比較,作如下假定:室內燃氣系統各組件正常工作概率Pa=0.95;使用燃氣灶的概率Pb=0.375;燃氣灶燃燒火焰正常的概率Pc=0.95,即發生意外熄火的概率為0.05。此時,由式(3)可以得到系統類型1的可靠度Rs,1≈0.932。設熄火保護裝置和燃氣報警器具有相同的正常工作概率,即Pd=Pe=P,由式(4)、(5)得到在0.9≤P≤1.0時的系統類型2與系統類型3的可靠度。不同類型室內燃氣安全系統可靠度曲線見圖2。
??? 由圖2可以得出:
??? Rs,3>Rs,2>Rs,1
??? 系統類型3的可靠度最高,系統類型2次之,系統類型1最低。系統類型1的可靠度增加,系統類型2、3的可靠度也隨之增加。當熄火保護裝置與燃氣報警器提高相同的可靠度時,系統類型3的可靠度的增幅大于系統類型2,其主要原因如下:
??? ① 燃氣報警器可以探測室內燃氣系統任何組件失效和火焰意外熄滅引起的燃氣泄漏,同時預警用戶并切斷氣源,起到了“守門員”的作用,其自身可靠度對室內燃氣安全系統可靠度的影響較大。
??? ② 熄火保護裝置僅具有熄火自動切斷氣源的功能,對因自身和室內燃氣系統各組件失效而引起的燃氣泄漏則無能為力;又由于燃氣灶意外熄火的概率較低,因此其自身可靠度的變化對室內燃氣安全系統可靠度的影響較小。
??? ③ 采用金屬安全連接管代替膠管連接管僅能夠提高室內燃氣系統各組件的正常工作概率,室內燃氣安全系統的可靠度曲線將平行上移。由于系統類型1不具備預警和處理事故的功能,一旦室內燃氣系統任何組件失效,則室內燃氣安全系統失效。
??? ④ 燃氣灶發生意外熄火的概率越小,系統類型1與系統類型2的可靠度曲線越接近,熄火保護裝置的功效越低。
??? 提高室內燃氣系統各組件的可靠性,是提高室內燃氣安全性的基石。燃氣報警器成為室內燃氣安全的最后保障,提高其運行的可靠性極其必要。還應該看到使用燃氣灶概率與火焰意外熄滅的概率對室內燃氣系統安全性的影響。由于發生意外熄火的概率越大,系統可靠度越低,因此室內燃氣系統的安全性也越低;而此時的熄火保護裝置的功效才能夠得到發揮,對于經常發生意外熄火事故的燃氣具,設置熄火保護裝置十分必要。
5 結語
??? 燃氣報警器大大地提高了室內燃氣安全系統的可靠度,降低了系統的失效度。采用新型燃氣管材與配件,以增強室內燃氣設施的可靠性。燃氣管理部門需加大對民眾燃氣安全知識的宣傳、教育,定期檢查、維護室內燃氣管道,及時發現、處理燃氣泄漏事故。燃氣用戶應注意燃氣使用安全,選用設有熄火保護裝置的安全性能較好的燃氣具,以確保室內燃氣使用的安全。
參考文獻:
[1] 崔棟.保障室內燃氣安全的探討[J].煤氣與熱力,2007,27(2):30-32.
[2] 戴嗣英.家用燃氣器具安全使用的探討[J].上海煤氣,2005,(2):29-32.
[3] 李英利.淺談室內燃氣系統存在的問題及對策[J].上海煤氣,2007,(1):22-23.
[4] 趙先勤.居民生活用氣的安全措施[J].煤氣與熱力,2005,25(1):63-64.
[5] 金偉婭,張康達.可靠性工程[M].北京:化學工業出版社,2005.
[6] 郭永基.可靠性工程原理[M].北京:清華大學出版社,2002.
?