1.2 管道泄漏模型
管道泄漏模型適用于開裂泄漏的情形[2、3、5]。開裂泄漏的原因通常是由于外力干擾或超壓破裂,屬于大面積泄漏,泄漏口面積通常為管道截面積的80%~100%。開裂泄漏瞬時泄漏量大,導致管道或設備中的壓力明顯降低。這時,在泄漏口處的燃氣壓力和周圍環境的壓力相差不太大,可以運用動量守恒方程和能量守恒方程建立如下方程:
?

式中u——氣體泄漏時的速度,m/s
??? p——氣體的絕對壓力,Pa
ρ——氣體的密度,kg/m3
? ??F——摩擦力,N
? ??H——氣體的焓,J
? ??μ——氣體的動力黏度,Pa·s
? ??L——泄漏點距起始端的距離,m
? ??D——管道內徑,m
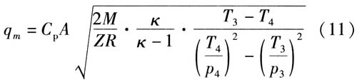
? ??假設在來氣方向上距管道泄漏點長度為L處設有調壓裝置或閥門,且認為沿程阻力系數不變,便得到管道泄漏模型的泄漏強度計算公式:
???

式中Cp——管道泄漏系數,根據泄漏情況分別為Cg、C1和Cd
??? T3、T4——泄漏點處、泄漏點上游L處管道內的燃氣溫度,K
??? p3、p4——泄漏點處、泄漏點上游L處管道內的燃氣絕對壓力,Pa
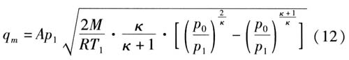
? ??燃氣管道由于第三方破壞等原因造成的大面積斷裂或全部斷裂,此時發生的泄漏量可使用管道泄漏模型進行計算。
1.3 其他泄漏模型
??? 由于小孔和管道泄漏模型分別只適用于小孔泄漏和管道大面積泄漏,而對于介于兩者之間的大孔泄漏(孔徑為20~80mm)就不再適用了。燃氣運輸事故、超壓爆炸等原因造成儲存容器或設備的破裂,在短時間內有大量燃氣泄漏出來,這樣的大孔泄漏在實際工程中常見。
??? 一些專家根據連續性方程,在假設氣體為理想氣體的前提下,得到了適用于各種孔徑的泄漏模型,其泄漏強度的計算公式如下[3]:
???

?????? 此公式解決了大孔泄漏的模型問題,但由于是在理想氣體的前提下推導的,因此該公式只適用于中低壓(此時容器內的燃氣可視為理想氣體)的情況,而不適用于高壓的情況。
??? 以上各泄漏模型適用于燃氣從管道或設備中直接泄漏到大氣中的情形。而對于埋地管道或設備,燃氣泄漏后在土壤中滲透再泄漏到大氣中,該類泄漏應按照滲透泄漏來處理,此時若使用這些公式會使計算出的泄漏量偏大。然而滲透泄漏考慮的因素很多,計算相當復雜。因此,可以在上述公式計算結果的基礎上酌量減少以符合實際情況。
2 擴散模型
2.1 高斯模型
??? 燃氣泄漏后會在泄漏源附近形成氣團,氣團在大氣中的擴散計算通常采用高斯模型。高斯模型的基本形式是在如下的假設條件下推導出來的[1、9]:假定燃氣在擴散的過程中沒有沉降、化合、分解及地面吸收的發生;燃氣連續均勻地排放;擴散空間的風速、大氣穩定度都均勻、穩定;在水平和垂直方向上都服從正態分布。
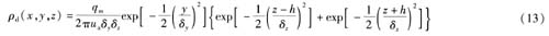
??? 泄漏燃氣相對密度小于或接近1的連續泄漏采用高斯煙羽模型。以泄漏點為原點,風向方向為x軸的空間坐標系中的某一點(x,y,z)處的質量濃度計算公式如下[9]:
? ??平均風速>1m/s時:
???

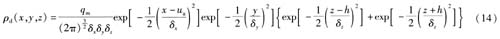
??? 平均風速=0.5~1m/s時:
?

? ??
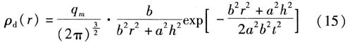
??? 平均風速<0.5m/s時,假設氣團圍繞泄漏點濃度均勻分布,則距離泄漏點r處的燃氣質量濃度為:
???

式中ρd(x,y,z)——擴散燃氣在點(x,y,z)處的質量濃度,kg/m3
??? x、y、z——x、y、z方向上距泄漏點的距離,m
??? ua——平均風速,m/s
??? δx、δy、δz——x、y、z方向的擴散系數,m
h——泄漏點高度,m
?? ?ρd(r)——距離泄漏點r處的燃氣質量濃度,kg/m3
??? r——空間內任意一點到泄漏點的距離,m
??? a、b——擴散系數,m
??? t——靜風持續時間,s,取3600的整數倍
??? 擴散系數可查HJ/T 2.2—93《環境影響評價技術導則大氣環境》得到。
2.2 重氣擴散模型
??? 液化石油氣密度比空氣密度大,屬于重氣。該類氣體泄漏時在重力的作用下會下沉,這時使用高斯模型計算的結果會使泄漏燃氣擴散速度偏大,泄漏源附近的濃度偏小。為了解決這個問題,可以引入最早由Van Ulden提出,并由Manju Mohan等發展的箱式模型[1]。箱式模型分為兩個階段:泄漏后的重氣擴散階段和重氣效應消失后的被動氣體擴散階段。
??? 重氣泄漏后首先是重氣擴散階段。在這個階段,重氣云團由于重力作用逐漸下沉并不斷卷吸周圍的空氣,在卷吸空氣的同時,氣云受熱,最終當重氣云團與空氣的密度差<0.001kg/m3時,可認為氣云轉變成中性狀態。
??? 隨著重氣的繼續擴散,氣云所受的重力不再是影響擴散的主要因素,而大氣湍流擴散逐漸占主要地位,這時便是被動氣體擴散階段,可以應用高斯模型計算泄漏燃氣的擴散。
3 結論
??? 使用泄漏模型可以計算出燃氣泄漏的理論量,此量為擴散計算提供基礎數據,可以依據此量分析泄漏后的擴散范圍以及預測評價事故后果。使用擴散模型可以對燃氣泄漏后的危險區域進行預測。泄漏模型和擴散模型都有各自的適用條件和范圍,應該根據泄漏擴散的具體情況分析選擇相應模型。
參考文獻:
[1] 彭世尼,黃小美.燃氣安全技術[M].重慶:重慶大學出版社,2005.
[2] 于暢,田貫三.城市燃氣泄漏強度計算模型的探討[J].山東建筑大學學報,2007,22(6):541-545.
[3] 肖建蘭,呂保和,王明賢,等.氣體管道泄漏模型的研究進展[J].煤氣與熱力,2006,26(2):7-9.
[4] 孫安娜,段常貴,周衛,等.地下燃氣管道事故泄漏擴散分析[J].煤氣與熱力,2007,27(1):17-20.
[5] 黃小美,彭世尼,徐海東,等.燃氣管道泄漏量的計算[J].煤氣與熱力,2008,28(3):B11-B16.
[6] DONG Y,GAO H,ZHOU J. Evaluation of gas release rate through holes in pipelines[J].Journal of Loss Prevention in the Process Industries,2002,(15):423-428.
[7] 潘旭海,蔣軍成.事故泄漏源模型研究與分析[J].南京工業大學學報,2002,24(1):105-110.
[8] 王鳳林,畢彤,劉振山,等.突發性環境污染事故大氣擴散數學模型初探[J].遼寧城鄉環境科技,2000,20(2):35-37.
[9] 張媛媛.基于WebGIS的突發事故大氣污染模擬的研究實現(碩士學位論文)[D].杭州:浙江大學,2006.
?