摘要:針對天然氣管道泄漏后,可燃氣云形成的爆轟、火球熱輻射事故,量化了兩種事故對人體造成的傷害及危害半徑,結合算例進行了分析計算。
關鍵詞:天然氣管道;泄漏;事故后果;爆轟;火球熱輻射
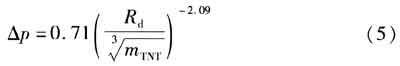
?? 當天然氣管道發生爆裂時,泄漏的天然氣與空氣混合形成可燃氣云,當氣云達到爆炸極限時,若遇火源易發生爆炸。在可燃氣云發生燃燒、爆炸時,約10%的天然氣發生爆轟,并產生沖擊波;約90%的天然氣燃燒形成火球熱輻射。因此,在對天然氣管道泄漏事故進行定量分析時,應分析可燃氣云分別產生爆轟、火球熱輻射的事故后果[1~2]。許多研究機構及燃氣公司對燃氣泄漏的檢測、搶修、控制方法進行了研究[3~11]。本文針對天然氣管道泄漏事故,綜合考慮天然氣泄漏后可能發生爆轟、火球熱輻射,對天然氣管道泄漏事故后果進行量化評價分析。


?
沖擊波超壓/MPa | 對人體的傷害程度 |
1.O0 | 大部分人員死亡 |
0.75 | 內臟嚴重損傷或死亡 |
0.40 | 聽覺器官損傷或骨折 |
0.25 | 輕微損傷 |

常壓爐拆除風險評價及控制措施
廢棄海洋石油平臺的拆除
化工工藝設計風險防范措施研究
加油卡風險分析及應對措施
美國農藥生態風險評價技術
石油工程風險管理措施探討
催化裂化氣壓機喘振原因分析及解決措施
催化氣壓機出口冷卻器換熱管開裂原因…
長輸燃氣管道的安全保護距離
危險化學品安全措施和應急處置
加油站重大危險源分級管理與風險控制…
天然氣管道安全置換方法的探討
淺談加油站安全管理
危化品生產企業安全管理方法
淺議化工企業安全生產管理
化工火災危險性分析