??? 摘要:LNG儲存溫度為-161.5℃,一旦發生泄漏,迅速蒸發后的氣體密度約為空氣密度的1.5倍,低溫的重氣云團將會發生重力沉降;同時,由于大氣湍流將空氣卷吸進入云團內部,低溫重氣云團也會被加熱,向正浮性氣體擴散轉變。為此,研究了LNG大規模持續泄漏產生的氣體擴散問題,建立了LNG泄漏時安全距離的計算方法,并分析對安全距離的影響因素。從DEGADIS重氣擴散基本模型出發,建立了LNG泄漏擴散時的場景條件和計算程序,并考慮了LNG向下風向擴散過程中受熱形成的浮升效應以及風速和大氣不穩定度的影響。所建立的方法比其他方法具有更好的準確性和適用性。通過與LNG泄漏擴散實地實驗(Burro系列實驗)數據進行比較,驗證了該方法的計算結果,平均相對偏差為24.82%。通過研究風速、大氣穩定度、泄漏源大小、圍堰尺寸等因素對LNG氣體擴散的影響,確定了不同條件下LNG擴散的安全距離要求。
??? 關鍵詞:LNG;泄漏;重氣;擴散;安全距離;積分模型;DEGADIS
0 引言
??? 天然氣在常溫下密度比空氣密度小,但LNG儲存溫度為-161.5℃,一旦發生泄漏,迅速蒸發后的氣體密度約為空氣密度的1.5倍[1]。低溫的重氣云團將會發生重力沉降,同時,由于大氣湍流,空氣將被卷吸進入云團內部,低溫的重氣云團也會被加熱,向正浮性氣體(即比空氣密度小的氣體)擴散轉變[2]。
??? 筆者從DEGADIS重氣擴散基本模型出發,建立了LNG泄漏擴散時的場景條件和計算程序,計算模型中考慮了液化天然氣向下風向擴散過程中受熱形成的浮升效應以及風速和大氣不穩定度的影響,給出相應的分析模型和計算方法,并用國際上典型實驗數據加以驗證。重點對液化天然氣大規模持續泄漏產生的氣體擴散問題進行了研究。
1 DEGADIS穩態模型及其驗證
1.1 模型描述
??? DEGADIS(DEnse GAs DISpersion)模型是由Havens和Spicer在1989年推出的一種用于分析重氣擴散的模型[3],并作為NFPA 59A推薦使用的一種模型,用于評估LNG生產儲運過程中的重氣擴散情況[4]。
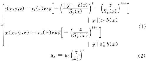
??? 連續泄漏模型又稱穩態模型,即下風向云團內部的各種性質參數只是位置的函數。DEGADIS作為積分模型,假設氣體擴散濃度在側風向上采用修正的高斯分布,而豎直方向上采用指數分布,并且對風速分布做了假設,其表達式如下:
?

式中下風向不同距離處的擴散系數Sy(x)、Sz(x),以及特征寬度b(x)、密度ρ(x)和溫度T(x)的求解,需要滿足下列守恒及特征擴散參數關系。
總質量守恒:
?

泄漏組分守恒:
?

能量守恒:
?

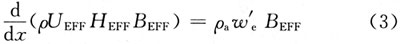
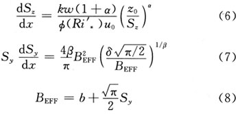
垂直和水平特征擴散參數控制方程[3]:
?

??? 在上述控制方程中的能量方程反映了云團擴散過程受熱后的溫度變化,由此而產生的擴散氣體的密度變化和浮升效應在理查森數及相關的卷吸和擴散特征參數中體現。
??? 上述方程采用數值積分方法聯立求解,其計算程序具有很好的收斂精度。本文建立的計算程序與DEGADIS通用計算程序對比,其計算精度符合很好。利用建立的程序計算得到濃度分布中的擴散參數,進而求出下風向的濃度分布和下風向擴散距離。
1.2 模型驗證
本文研究的數學模型通過Burro系列實驗[1,5]進行驗證,Burro實驗在距離泄漏源下風向57m、140m、400m、800m處分別測得天然氣的最大體積分數值,該實驗共進行了多組,本文對其中的3號、5號、7號和9號實驗進行模擬,將實驗數據與模型計算結果對比,并進行誤差分析,得出模型計算的平均相對偏差為24.28%。實驗的初始條件以及對比結果見表1、2。
?