雨水滲井是我國古代城鎮曾經通用的排水技術之一,在當代新型城市雨洪管理理念革新背景下有了新的發展與應用需求。針對傳統雨水滲井設計缺乏系統定量分析、粗獷建設等問題,系統梳理國家海綿城市建設經驗,結合理論研究與工程實踐,圍繞雨水滲井選型、規模計算、結構與填料設計、預處理設計及施工等環節總結探討,提出改進建設思路、加強跨學科研究的建議。
雨水滲井作為我國海綿城市建設“滲、滯、蓄、凈、用、排”技術體系中專用滲透類雨水設施,可實現匯水區雨水速滲,有效削減徑流總量與峰值,緩解排水壓力,涵養地下水源,在豎向改造難度大的城市低洼區或管網不健全、排水無出路地區具有重要工程應用價值。2014年,住建部頒布《海綿城市建設技術指南——低影響開發雨水系統構建》,闡述了雨水滲井概念及典型構造,但對不同應用場景下雨水滲井系統設計、施工缺少具體方法指引,國家層面暫無專門規范借鑒,各地建設缺乏標準,質量參差不齊。目前,一些地區主要參照河床取水滲井、公路排水滲井、工程降(排)水井等專利、文獻資料設計建造,對雨水滲井在排水防澇體系中作用、徑流調控機制與滲井結構關系缺乏系統研究。傳統滲井大多利用天然河砂、碎石、建筑垃圾骨料等作填料,強調“水量速滲”,忽視“水質污染風險控制”,同樣缺乏深入探究。為此,筆者通過國家海綿城市試點建設調研,總結團隊實踐研究成果,圍繞雨水滲井分類選型、規模計算、結構與填料設計、施工方法等進行探討,旨為適宜地區雨水滲井建設提供經驗參考。
1 雨水滲井分類及適用場景
Rainwater seepage well
系統梳理我國各地雨水滲井建造形式,按其屬性特征可分為:
結構與滲流方式:垂直入滲式、輻射滲透式、滲排一體式(見圖1);
井體材料:磚(石)砌式、鋼筋混凝土式、塑料式、硅砂混凝土式、鋼波紋管式、玻璃鋼管式等;
填料類型:砂石滲井、建筑再生骨料滲井、人工改性填料滲井;
布設形式:單井式、井群式。各類滲井技術特性及適用條件如圖1所示。

圖1 雨水滲井典型結構與滲流方式
工程設計中,雨水滲井徑流調控作用會因其所處排水防澇體系位置的不同而異。筆者從海綿城市“源頭減排-過程控制-系統治理”三段式雨水系統構建角度出發,將雨水滲井劃分為:源頭減排滲井、過程控制滲井和終端消納滲井(見圖2)。源頭減排滲井適用于小區、廣場等產匯流源頭地塊下墊面徑流削減;過程控制滲井主要用于排水區市政雨水管網轉輸流量的中途削峰,減輕下游管網排水壓力;終端消納滲井則用于排水系統末端雨水集中削減。

雨水滲井設計選型時,應根據其系統功能定位、匯水區特征(降雨特征、匯水面積、下墊面污染水平)、擬建場地工程地質(穩定性、承載力)、水文地質(地下水埋深、土壤滲透性)及周邊建構筑物基礎埋設條件等,由圖3經技術經濟比較確定。工程選址時注意:
擬建場地及匯水區內不得有有毒有害物質生產、儲存與堆放場所;
地下水源井周邊30 m范圍不得建設雨水滲井,范圍外選址時應避開補給區并評估污染風險;
擬建場地適宜性評價應結合工程地質資料,分析地層穩定性、承載力,同時進行水文地質勘察,分層(分段)開展注水試驗 ,評判地下水以上土體滲透性;
雨水滲井設置于建筑小區時,距離建筑物基礎水平距離應≥5m;
應用于存在徑流污染、設施底部距離季節性最高地下水位<1.5m或距離建(構)筑物基礎水平距離<5m區域時,應采取預凈化、防滲等措施防止污染及次生災害;
濕陷性黃土場地滲井建設應經專門論證;濕陷等級低、土層薄的非自重濕陷場地,可考慮貫穿式滲井結構;
地下水位過高且徑流污染嚴重、地下水保護嚴格地區,易坍塌、滑坡等不良地質區,高等級、大厚度自重濕陷性黃土區,土壤滲透性嚴重不良且開挖處理成本過高地區不適合建設。

圖3 雨水滲井分類及適用場景
2 系統設計
Rainwater seepage well
2.1 規模計算
2.1.1 設計進水量
目前,雨水滲井設計進水量(Vc)算法較多,易出現未考慮其排水系統中功能定位,混淆使用,導致規模偏大/小的情形。筆者建議分3種情況:
(1)用于雨水源頭減排目標時,宜按式(1)計算:

式中 Vc1——設計進水量,m3;
H——場地年徑流總量控制率對應設計降雨量,mm;
φc——匯水區綜合雨量徑流系數;
F——雨水滲井匯水面積(含自身),hm2。
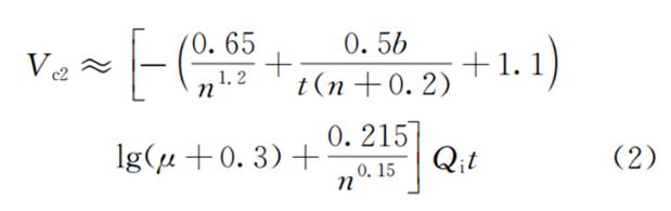
(2)用于雨水峰值(管道洪峰流量)削減目標時,可按式(2)估算:

式中 Vc2——設計進水量(調節削減水量),m3;
μ——脫過系數,雨水滲井下游出水管道設計流量與上游進水管道設計流量之比;
Qi——雨水滲井上游管道設計流量,m3/min;
b、n——當地暴雨強度公式參數;
t——降雨歷時,min。
(3)用于項目/區域雨水終端消納時,可按項目/區域室外排水設計重現期對應暴雨強度計算,見式(3):

式中 Vc3——設計進水量,m3;
A1、C——當地暴雨強度公式參數;
P——室外排水設計重現期;
ψc——匯水區綜合流量徑流系數;
tc——設計降雨歷時,min,一般≤120min。
2.1.2 設計滲透量
設計時,忽略雨水非飽和—飽和入滲變化過程及其各向異性,基于達西定律計算見式(4):

式中 Wi——滲井滲透量,m3;
δ——安全系數,宜取0.5~0.8,匯水區下墊面易積淀泥沙、塵土時,取低值,較潔凈時,取高值;
K——滲透土層飽和滲透系數,m/s;
J——水力坡度,一般取1;
A——滲井有效滲透面積,水平滲透面按投影面積算,豎直滲透面按1/2設計水位高度計算,m2;
ti——入滲歷時,min。
式(4)中,K應以現場注水試驗確定。勘察時,實測滲井底部及周邊土壤滲透速率應≥5×10-6m/s,宜在6×10-5~6×10-4m/s(中粗砂滲透系數區),不宜超過1×10-3m/s(無足夠停留時間凈化)。對于地下水以上可滲透成層土(飽和含水),其等效滲透系數可按式(5)計算:

式中 Ke——滲透土層等效滲透系數,m/s;
hp——滲透土層上方蓄水深度,m;
hj——土層j厚度,m;
kj——土層j滲透系數,m/s。
式(4)中,ti取值分兩種情形:①匯水面徑流通過滲井快速下滲且不允許周邊積水時,應按當地多年平均降雨歷時取值,一般取2~3 h;②匯水面徑流量大且允許滲井周邊存在積蓄滯區,雨后一定時間完成排空時,可取12~48 h。
2.1.3 設計儲存容積及有效滲透面積
(1)雨水滲井頂部設有蓄水空間時,其有效儲存容積可按式(6)、式(7)計算:

(2)滲井頂部不設滯蓄空間或很小時:Vt=0,其有效儲存容積Vs等于填料孔隙儲水容積,有效滲透面積按忽略Vs后的式(8)計算。

根據進水流量與土壤滲透速率校核Vs、A,結合滲透土層埋深、進出水管標高、填料厚度與孔隙率分配滲井頂部和填料內部蓄水容積;結合滲井結構及貫入滲透土層深度,分配有效滲透面積,垂直入滲井按井底滲透面積疊加井壁開孔面積分配,輻射滲透井按井底滲透面積疊加水平滲透管開孔面積分配。開孔孔徑、開孔率還應經結構專業校核。
2.2 結構與填料設計
2.2.1 結構與材料
根據上述計算初步確定雨水滲井內徑及深度,井壁結構與材質應考慮擬建場地地質,經結構演算確定。一般情況下,源頭減排滲井多采用垂直入滲或輻射滲透式,過程控制與終端消納滲井采用滲排一體或垂直入滲式。輻射滲透式滲井多采用磚砌,滲排一體式滲井多采用塑料成品井,垂直入滲式滲井可采用磚砌、鋼筋混凝土、鋼波紋管或玻璃鋼管等形式。磚砌式滲井要求地基承載力穩定、不易沉降,結構抗剪性能可承受側壁土壓(無配筋磚砌體結構抗側壁土壓力弱,工程實踐中,井體上部易擾動土層可結合放坡,設計成倒梯臺“”結構),井壁厚度≥240 mm,結構深度宜≤6 m,不適用于軟土、高地下水位等地區。磚砌輻射滲井(見圖2b)輻射滲透管敷設坡度宜≥2%,扇形布置,4~8根/層,管長根據排水量確定,管徑宜≥150 mm,開孔孔徑宜為8~12 mm,采用PE、PVC-U等塑料管材時,開孔率宜為1.5%~3%。滲透管外圍可填充1.5~2倍管徑厚度的礫/碎石層(粒徑>開孔孔徑),并用透水土工布包裹。
鋼筋混凝土滲井抗壓強度高、抗浮性強、耐久性好、自重大,深度適用廣(幾米至幾十米),井徑、井壁厚度應滿足下沉深度、強度、剛度及穩定性(抗滑、抗浮、抗傾)要求,符合《水工混凝土結構設計規范》(SL 191)規定。團隊運用ABAQUS軟件,模擬不同工況下(不同井徑、壁厚、埋深、開孔率)應力場,推求結構最大拉力值,依據《混凝土結構設計規范》(GB 50010)配筋計算,獲取保證鋼筋混凝土滲井安全的參數值。鋼筋混凝土垂直滲井(見圖2a)井底與井壁開孔區宜填充碎石滲透層,滲透層高度與開孔區高度一致,外包透水土工布或整體設為級配反濾結構。
塑料滲井多采用PE或PP成品井,自重輕,占地小,抗浮性弱,井徑一般≤1.5m,結構深度≤7m,井壁采用實壁或帶肋結構,壁厚、材料性能應符合《市政排水用塑料檢查井》(CJ/T 326)規定,開孔后井筒環剛度應滿足抗側壁土壓要求。滲排一體式塑料滲井(圖2c)井內應設0.3m沉沙室,井間距≤150倍滲管管徑,滲管管徑、敷設坡度(宜1%~2%)應滿足雨水排放流量要求。
除以上典型結構外,近年來,鋼波紋管、硅砂混凝土等材料也被用于雨水滲井建造。鋼波紋管滲井采用熱軋鋼板波形鋼片拼接而成,井徑、井深適用廣,適應地基變形能力強,自重小,可用于軟土、膨脹土區域。硅砂混凝土滲井采用具有透水功能(透水系數≥2.5×10-4m/s)的硅砂砌塊砌筑而成,無須結構開孔,適用于小區、公園等徑流水質良好(低濁)地區的小深度滲井,材料性能及強度等應符合《硅砂雨水利用工程技術規程》(CECS 381)規定,寒冷地區應用時須滿足抗凍要求。
此外,實踐還應考慮場地空間、工期(磚砌式、現澆鋼筋混凝土式>預制鋼筋混凝土式、鋼波紋管式>塑料式)、造價(鋼筋混凝土式>磚砌式>鋼波紋管式>塑料式)、使用壽命等因素,綜合比選后確定結構方案。團隊在上述結構基礎上,集成相關技術優點,提出一種組合式雨水滲井結構(見圖4)。
污水處理過程中溶解氧的控制問題匯總
論污水的化學處理之化學混凝法
超低排放改造與脫硫廢水處理的優化探討
淺析化工廢水特點及廢水處理原則、特征
三種常見的高鹽廢水處理方式
城市黑臭水體治理技術體系研究
化工污水處理過程中的危險因素分析
關于污泥性狀異常及簡單分析結果
UASB厭氧處理工藝
污水處理系統應急預案
農村生活污水處理
燃煤電廠脫硫廢水零排放預處理工藝選…
煤化工廢水處理技術研究
SBR法處理煤化工廢水中石油烴類的試…
工業園區污水處理工藝選擇
發電廠節水及廢水綜合利用改造實例