?
電力最為關系國家安全的重要產業,對電網運行及用戶的管理均以“安全第一”為目的,因而對于電網設備要求也極為嚴格,對鋁電纜的使用十分謹慎,導致了我國電纜工業中鋁導體用量占比很低。
鋁合金電纜作為一種新型的電纜,雖然歷史不長,但因其優越的性能和相對較低的價格,近年來迅速發展,成為電纜行業中一股新生的力量,引起越來越多的關注。從19世紀70年代開始在北美得到了廣發的推廣和使用,2007年進入中國后在北京、天津、浙江、遼寧、廣東、四川等地逐步打開市場。目前主要用于房地產項目、商業項目和電力用戶工程,仍難以進入電網工程的采購名錄中,市場份額仍然偏低。
鋁合金導體以金屬鋁為主要成分,通過添加銅、錳、鎂、鈦、鋅、鉻、鐵和硅等元素,經過先進的合成和退火等工藝,彌補了純鋁電纜的不足,改善了純鋁電纜的物理性能和工藝性能,提高了電纜的抗腐蝕性能和抗蠕變能力,保證電纜即使在長時間過載和過熱時的連續穩定性。
鋁合金導體的電阻率與鋁相當,約為通的1.68倍,由于銅芯電纜的電阻率低,在相同截面情況下,銅芯電纜的電壓降較小。但在一般的工程應用中,鋁合金電纜為了達到相同的載流量,放大截面后,電壓降相當。
銅的密度約為8.9g/cm3,鋁合金的密度與鋁相當,約為2.7 g/cm3,即在單位面積下,銅的重量約為鋁合金的3.3倍。
如果按銅的導電率是100%計算,鋁合金的單位體積電阻率與鋁相當,約為61.2%,由于導體的導電能力與截面積成正比,則(8.9/2.7)×(0.612/1)=2,即2kg銅的導電能力與1kg鋁合金相當。另外,考慮密度后,合金電纜的截面積是銅電纜的約1.5倍時,其電氣性能相同。
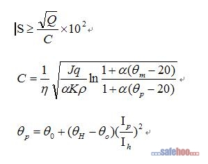
根據《電力工程電纜設計規范》GB50217-2007,按照短路熱穩定條件計算電纜導體允許最小截面的公式如下:

經計算,可得銅電纜熱穩定系數C銅=13700,鋁合金電纜熱穩定系數C鋁合金=9000,在通過相同的短路電流,并且短路持續時間相等的情況下,設S銅≥S基準,則S鋁≥1.52S基準,即在相同條件下,鋁合金電纜的截面必須為銅電纜截面的1.52倍以上。
綜上,鋁合金電纜選型時,截面積應考慮放大,當放大約為1.5倍時,主要參數基本與銅電纜相當。
鋁合金導體在抗蠕變、壓緊性、屈服強度、延展性及耐受外力等性能上得到大幅度提高,在國外三十幾年的使用中,安全可靠,故障率極低。
在鋁中加入其它多種合金元素后,導電性能會下降,盡管通過工藝控制,可以使導電率恢復到接近鋁導體的水平,但仍無法超越純鋁。
盡管通過一些工藝的嚴格控制,來提高緊壓系數,以減小鋁合金電纜截面的增量,但鋁合金電纜的外徑基本仍是要大于銅電纜的1.2倍。
鋁的熔融溫度為660℃,而銅可達1080℃,在高溫環境中使用的耐火電纜要求可經受750℃~1000℃作用下維持通電的功能。因此此類電纜選擇中,不應采用鋁合金電纜。
隨著銅價的迅猛上漲,銅與鋁的比價越來越大,鋁質電纜受到越來越多的關注。
(1)人們對鋁芯電纜性能低劣的根深蒂固的觀念,包括電纜行業一線工作的設計、施工、生產運行等專家。
(2)鋁合金電纜多為進口合資品牌,價格較高。
鋁合金電纜擁有優良的性能,加大的價格優勢及重要的戰略意義,再加上目前的市場占有率較低,市場前景十分廣闊。
變電站運行工崗位風險告知卡
高風險作業風險評估方案
電氣設備的粉塵防爆
雜散電流的防治安全技術措施
電氣防火防爆技術知識手冊
觸電防護技術知識手冊
架空管路拆除安全技術措施
低壓配電作業風險點告知卡
車間安全生產注意事項
配電箱安裝及使用安全要求
保證電力施工現場作業安全的組織措施…
怎樣進行線損分析
防臺防汛安全措施
焊接立焊時的操作方法
跌落式熔斷器的正確操作方法
在電氣設備上工作 保證安全的技術措施