1 概述
礦井通風阻力測定是生產礦井通風管理的一項重要內容。目前,礦井阻力測定已基本淘汰了傾斜壓差計測定法,大多采用省時省力,操作簡單的氣壓計測定方法,特別是在大型礦井的全礦井阻力測定中更是如此。采用氣壓計進行阻力測定時,測定方法又分為基點法和同步法2種。同步法是將2臺氣壓計分別安置在井巷的兩側,并約定時間同時讀取風流的靜壓值。而基點法則是用1臺氣壓計監測基點氣壓的變化,另1臺氣壓計沿測定線路逐步測定風流的靜壓。由于同步法采用2臺氣壓計同時讀數,從而有效地避免了地面大氣壓力變化和其他擾動因素的影響。測定精度主要受氣壓計性能本身的影響。若采用2臺相同精度和漂移性能的氣壓計,其測定精度易于保證。但要求2臺氣壓計同時讀數,測定過程的聯絡和配合較困難,測定速度慢。而基點法則相反,它是目前較為常用的測定方法。
本文試圖從基點法測定的原理入手,對測定誤差產生的原因、基點位置的確定等問題進行探討,希望能為提高基點法在實際應用過程中的精度有所幫助。
2 基點法測定誤差來源分析
2.1 基點法測定原理
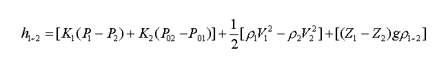
采用基點法進行井巷通風阻力測定時,測定段的通風阻力計算公式為:

式中 K1、K2——移動氣壓計和基點監測氣壓計的校正系數;
P1、P2——移動氣壓計在井巷進風測點和出風測點不同時刻的讀數,Pa;
P01、P02——在讀取P1和P2時,基點氣壓計的讀數,Pa;
V1、V2——井巷進風測點和出風測點不同時刻的風速,m/s;
Z1、Z2——井巷進風測點和出風測點的標高,m;
ρ1、ρ2——井巷進風測點和出風測點處的風流密度,kg/m3;
ρ1~2——測定段風流平均密度,kg/m3。從形式上看,(1)式和描述井巷通風阻力的典型的伯努利能量方程類似,具有相同的物理意義,它們都表示任意井巷進、出2個斷面上的能量差。但是(1)式中的壓力、風速和密度等物理量是氣壓計等儀器沿測定線路在測定段進出風測點不同時刻的測定值,如果地面大氣壓力和井下風流是嚴格的穩定流,并且在測定時間內不考慮地面大氣壓力滯后等因素的影響,(1)式就準確的反映了測定段的通風阻力。但是礦井實際風流和地面大氣壓力往往是變化的,這樣由于2個測點讀數的非同時性,就必然導致測定過程中誤差的產生,這是由基點法本身所造成的。由于(1)式中各項的物理意義不同,產生誤差的原因也不同,因此有必要對其分別進行討論。
2.2 基點法測定誤差分析
為了詳細的分析基點法測定中誤差產生的原因,將(1)式分成3個部分如加以討論,即位壓差項、速壓差項、靜壓差項。
(1)位壓差項:任一測段位壓差的表達式為:hz1~2=( Z1-Z2)gρz1~2 (2)
在正常生產條件下,風流的密度變化較小,并且也易于測算。對位壓差hz1~2影響最大的是測點的標高。在實際測定中,由于測定標高的不準確而導致測定段的阻力出現負值的情況時發生。為此,在測定線路布點時,盡可能將測點布置在標高已知的地方,并且事先將測線布置圖送有關的地質部門,以便準確確定出測點的標高數值。對于測點難以選在已知標高的位置時,可根據具體情況進行推算。這里有2種情況,一種是測定段位于在巷、石門或者上下山等坡度已知的巷道時,則可根據巷道的坡度和已知標高測點到未知標高測點的距離進行推算。另一種對于巷道起伏變化大,又缺乏坡度變化準確資料的測段,采用上述的推算方法比較困難時,可根據前后測點的有關參數推算待求測點的最可能標高值,并以此作為該測點的準確標高進行位壓差的計算。
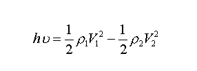
(2)速壓差項:速壓差的測算公式為:

影響速壓差項精度的主要因素是進出風測點的風速。井巷中運輸設備的運行、大批人員的移動對風表的讀數都會產生直接的影響,從而引起測點風速值的誤差。因此,測風點 應設在免受上述因素干擾的地點。由于風流匯合或分流都會產生渦旋,對于處在交叉點附近的測點,為了避開渦旋,在從分風點或合風點流出的風流中,測點的位置與該分風點或合風點的距離不小于巷道寬度的12~14倍;在流入分風點或事風點的風流中,測點的位置與該分風點合風點的距離不小于巷道寬度的3~4倍,并且務分支的風量都要進行測量,以便相互驗證。一般而言,井下風流的動能值較小,速壓差在阻力中所占比例很小,不會引起較大的誤差。但是如果在測點附近設有風門,若恰好在測定時風門開啟或者關閉,則可能引起較大的誤差。所以在測風速時,應采用多次測定,取平均值的方法,避免粗大誤差的產生。
(3)靜壓差項:靜壓差項的測算公式為:
hs=K1( P1-P2) +K2( P02-P01) (4)
上式由2項組成,第1項表示測段進行風測點的靜壓差,第2項表示井下移動氣壓計在測點讀數時刻,基點氣壓計的變化情況。如前所述,基點法通風阻力測算公式是根據穩定流的伯努利能量方程而得到的。而礦井風流并不是嚴格的穩定流,并且基點法測定過程中對測點氣壓的讀數不是在同一時刻進行的,所以不能照搬伯努力利方程,必須對其進行修正,這樣就引入了(4)中的第2項。對上式進行變形得到;
hs=(K1 P1-K2 P01)+(K1 P2-K2 P02) (5)
在不考慮基點氣壓計和井下移動氣壓計儀器本身誤差的條件下,(5)式的第一項相當于同時測定法中基點和測點1在某時刻的靜壓差,而第2項則相當于基點和測點2在另一時刻的靜壓差。如果井下風流(包括地面大氣壓)是嚴格的定常流,則以上2項的差就準確的表示某段井巷始末點的靜壓差。由(5)式就更加清楚地看出風流的非定常性和測點讀數的非同時性是基點法誤差產生的根本原因。實際觀測也證明了上述推論,用1臺氣壓計觀測井下某點的氣壓,很容易發現在不同時刻,該點的氣壓將有不同的讀數,而2個測點在不同時刻得到的讀數,代入(5)式進行靜壓差的計算,誤差的產生是不可避免的。
3 基點位置的確定
由于基點法阻力測定中,靜壓差的精度直接關系到整個測定工作的精度,因此從測定方法本身著手考慮如何降低靜壓差的誤差是十分重要的。而對靜壓差精度影響最大的是基點氣壓計的位置。合理的基點位置應使礦井風流的非定常性給阻力測定帶來的影響降到最小。引起井下測點靜壓波動的原因有2類:①由于地面大氣壓的變化;②井下作業在礦井風網中引起的局部附加沖擊壓力。不同的基點位置,這2個因素對靜壓差有著不同的影響。
3.1 基點設在進風井口
當基點位于進風井口附近時,校正氣壓計的讀數主要受地面大氣壓變化的影響。地面大氣壓力的變化與天氣有一定的關系,并一在1d之內其變化的趨勢和幅度也不同。根據觀測,在白天大氣壓力的為化可達100Pa左右(晴天),每小時的變化幅度可達50Pa左右,并且大氣壓力的變化是漸變的,基本上沒有突變的情況發生,氣壓隨時間的變化曲線比較平穩。大氣壓力的這種變化將傳遞過程中有一定滯后和衰減,其滯后的時間和衰減的幅度取決于井下測點距井口的距離。
3.2 基點設在井底車場
根據觀測,當基點設在井底車場附近時,氣壓的波動幅度較大,并且有突變的情況發生。產生這種情況的原因在于,井底車場附近的氣壓除受地面大氣壓力波動的直接影響久,還會受到井下不同形式擾動的影響。例如,當副井的罐籠向下運行,而大巷的電機車向井底車場方向運行時,井底車場附近的空氣被壓縮,氣壓升高;反之,則氣壓降低。這樣就造成了井底車場附近氣壓的變化曲線較井口附近的氣壓變化曲線起伏多,變化的幅度大。
3.3 基點設在采區下部車場及回風大巷起點
當基點設在采區下部車場不受運輸影響的巷道內時,如果不考慮采區內風門的開啟和關閉的影響,基點氣壓計的波動和采區內測點氣壓的波動在趨勢和時間上基本一致。這是由于在采區內部受到的運輸干擾較少,產生壓力躍階的因素減少;同時,基點和測點的距離較近,基點氣壓延遲效應降低,從而使二者的波動一致。在回風系統的測定,將基點設在采區上部回風大巷起點附近,也具有類似的結果。
綜合以上討論,用基點法進行礦阻力測定時,由于井下風流的非定常性和前后測點讀數的非同時性,從理論上講誤差存在是必然的。要降低測定的誤差,就必須從這2個方面入手。為此,阻力測定應該在人員活動少、運輸量輕的檢修班進行。將進風井到出風井的阻力測定路線分為3段,即進風段,用風段和回風段。從入風井到采區下部車場為進風段,在這一測段,由于礦井的運輸和提升設備對測定結果的影響大于大氣壓力波動滯后的影響,因此,一般基點應設在進風井口附近。對于特別深的礦井或者進風線路特別長的礦井,可考慮將基點設在井底車場附近。在采區下部車場到總回風巷的用風段測定中,可將基點設在采區下部車場不受運輸影響的地點,以縮短基點和測點間的距離。同時,為了消除風門開啟或者關閉造成的躍階對測定精度的影響,必須在氣壓穩定后讀數。在從總回風巷入口到回風井的回風段測定中,基點應設在采區上部總回風巷入口附近。為了剔除測定工作中可能出現的粗大誤差,測定時應采用至少4臺氣壓計。在從進風井口到回風井口的整條測線內,隨著測定工作的前移,在進風井口、采區下部車場附近、總回風巷入口附近先后設立3個基點,實行多基點測定,以彌補基點法本身的缺陷。(曲方)
工作面設備拆除施工組織設計及安全技…
恒寶源綜采工作面回撤拆除安全技術措施
水文技術員員崗位風險告知卡
保管員崗位風險告知卡
跟車工司機崗位風險告知卡
通風設施工崗位風險告知卡
衛生清理工崗位風險告知卡
拉力試驗工崗位風險告知卡
習慣性違章作業產生的原因、危害分析…
露天礦開采工藝
安全風險管控措施
礦井停產檢修安全技術措施
非煤礦山常見事故原因分析及防范措施
煤礦井下運輸安全技術措施
探放水設計及安全技術措施
冬季“三防”安全措施