離心泵效率的高低與泵的類型、尺寸及加工精度有關,又與流量及流體的性質有關,一般地,小型泵的效率為50%~70%,大型泵的效率要高些,有的可達90%。
(二) 性能曲線
實驗表明,離心泵的揚程、功率及效率等主要性能均與流量有關,把它們與流量之間的關系用圖表示出來,就構成了離心泵的特性曲線,如圖6—5所示。
不同型號的離心泵的特性曲線雖然各不相同,但其總體規律是相似的。
(1)揚程—流量曲線? 揚程隨流量的增加而減少,但其總體規律是相似的。
(2)軸功率—流量曲線? 軸功率隨流量的增加而增加,也就是說當離心泵處在零流量時水泵的功率小。因此,離心泵開車和停車時,都要關閉出口閥,以達到降低功率,保護電機的目的。
(3)效率—流量曲線? 離心泵在流量為零時,效率為零,隨著流量的增加,效率也增加,當流量增加到某一數值后,再增加,效率反而下降。通常,把最高效率點稱為泵的設計點或額定狀態,對應的性能參數稱為最佳工況參數。銘牌上標出的參數就是最佳工況參數。顯然,泵在最高效率下運行最為經濟,但在實際操作中不太可能,應盡量維護在高效區(效率不低于最高效率的92%的區域)工作。性能曲線上常用破折號將高效區域標出,如圖6—5所示。
離心泵在指定轉速下的特性曲線由泵的生產廠家提供,標在銘牌或產品手冊上。需要指出的是,性能曲線是293K和98.1Pa下以清水作為介質測定的,因此,當被輸送液體的性質與水相差很大時,必須校正。
三? 離心泵的氣蝕與安裝高度
離心泵的揚程可以達到幾百甚至千米以上,但離心泵的安裝高度卻受到一定的限制,如果安裝過高,就會發生氣蝕現象。輕則導致流量、壓頭迅速下降,重則導致不能吸液或葉輪傷害。
(一)? 汽蝕現象
如前所述,離心泵的吸液是靠吸液面與吸人口間的壓差完成的。當吸人液面壓力一定時,泵的安裝高度越大,則吸人口處的壓力將越小,當吸人口壓力小于操作條件下被輸送液體的飽和蒸汽壓時,液體將會汽化產生氣泡,含有氣泡的液體進入泵體后,在離心力的作用下,進入高壓區,氣泡在高壓的作用下,又液化為液體。由于原氣泡位置的空出造成局部真空,周圍液體在高壓的作用下,迅速填補原氣泡所占空間。這種高速沖擊頻率很高,可以達到每秒幾千次,沖擊壓強可以達到數百個大氣壓甚至更高。這種高速沖擊頻率很高,輕的葉輪疲勞,重的則可以將葉輪與泵殼破壞。甚至能把葉輪打成蜂窩狀。這種因為被輸送液體在泵內氣化再液化的現象叫離心泵的汽蝕現象。
汽蝕現象發生時,會產生噪聲和引起振動,流量、揚程及效率均會迅速下降。嚴重時,不能吸液。工程上當揚程下降3%時就認為進入了汽蝕狀態。
避免汽蝕現象的方法是限制泵的安裝高度。避免離心泵氣蝕現象的最大安裝高度,稱為離心泵的允許安裝高度,也叫允許吸上高度。
(二)? 允許安裝(吸上)高度
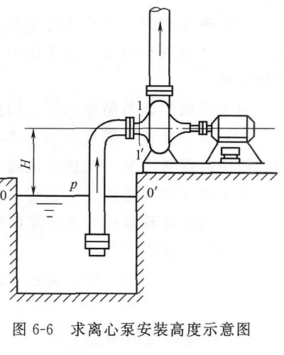
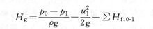
離心泵的允許安裝高度可以通過在圖6—6中的0—0截面和l—1截面間列柏努利方程求得。即:
式中? Hg——允許安裝高度,m;
P0——吸人液面壓力,Pa;
p1——吸入口允許的最低壓力,Pa;
u1——吸人口處的流速,m/s;
ρ—液體的密度,kg/m3;
∑Hf,0—1——流體流經吸人管的阻力,m。
從式(6—2)可以看出,允許安裝高度與吸人液面上方的壓力P0,吸入口最低壓力戶,、液體密度P、吸人管內的動能及阻力有關。因此,增加吸人液面的壓力,減小液體的密度、降低液體溫度(通過降低液體的飽和蒸汽壓來降低p1),增加吸人管直徑(從而使流速降低)和減少吸入管內流體阻力均有利于允許安裝高度的提高,在其他條件都確定的情況下,如果流量增加,將造成動能及阻力的增加,安裝高度會減少,汽蝕的可能性增加。
離心泵的允許安裝高度可以由允許吸上真空高度法或允許汽蝕余量法計算。近年來,前者已經很少使用,故只介紹后一種方法。

離心泵的抗汽蝕性能參數可用允許氣蝕余量來表示,其定義為泵吸人口處動能與靜壓能之和比被輸送液體的飽和蒸汽壓頭高出的最低數值。即???
式中AA——允許汽蝕余量,m;
Ps——操作溫度下液體的飽和蒸汽壓,Pa;其他符號同前。
同樣,泵的生產廠家提供的允許汽蝕余量是98.1kPa和293K下以水為介質測得的,當輸送條件不同時,應該對其校正。
危險化學品泄漏應急響應和處置措施
液氨儲罐風險點告知卡
低溫甲醇洗消耗偏高原因及解決措施
裝卸搬運作業安全風險告知卡
檢維修作業安全風險告知卡
蒸化作業安全風險告知卡
刷毛作業安全風險告知卡
整經作業安全風險告知卡
受限空間作業安全要求
進入有限空間作業注意事項及預防措施
應急救援預案演練評價報告記錄
天然氣危險性分析
化驗室潛在安全隱患與防護措施
埋地燃氣管道的安全間距控制
危險源辨識及風險控制
重大危險源辨識、評價及監控