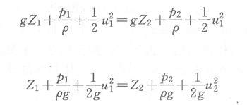
式(5—17)和式(5—18)是實際流體的機械能衡算式,習慣上稱為柏努利方程,它反映了流體流動過程中,各種能量的轉化與守恒規律,這一規律在流體輸送中具有重要意義。理想流體(沒有黏性,流動時沒有內摩擦力)流動時沒有能量損失,在沒有外加功時,式(5—18)可寫為
式(5—18a)、式(5—18b)稱為理想流體的柏努利方程。
九、? 柏努利方程的分析與應用
(1)能量守恒與轉化規律? 柏努利方程提示了流體流動過程中,各種能量形式可以相互轉化,但總能量是守恒的。為了分析方便,以理想流體的柏努利方程式來分析能量的變化規律。設Z1=Z2,則可以看出,動能與靜壓能是可以相互轉化的。由此可以推出,在流動最快的地方,壓力最小。在工程上,利用這一規律,制造設計了流體動力式真空泵,也正是這一規律,使飛機上了天,制造了球類比賽中的旋轉球。想一想,為什么高速航行的兩艘船不能靠得太近,為什么人不能離運行的火車太近等。
必須指出,實際流體流動時,由于流體阻力的存在,不同能量形式的轉化是不完全的,其差額就是能量損失。
[例5-7)? 密度為900kg/m3的某流體從圖5—8管路中流過。已知大、小管的內徑分別為106mm和68mm;1—1截面處流體的流速為lm/s,壓力為1.2atm。求解截面2—2處流體的壓力。
解? 在截面1—1與截面2—2間的列柏努利方程,可得
(2)流體自然流動的方向? 在式(5—17)中,如果外加功為零,即流體的流動為自然流動,由于流體阻力始終大于零,則流體在1—1截面所具有的能量必然會大于流體在2—2截面所具有的能量。所以,流體自然流動只能從高能位向低能位進行。
在化工生產中,經常需要將流體從低能位輸送到高能位的地方。為了完成任務,人們必須采取措施,以保證上游截面處流體的能量能大于下游截面處流體的能量。從柏努利方程可以看出,這些措施包括增加上游截面的能量、減少下游截面的能量、在上下游加壓(酸貯槽),在下游抽真空(真空抽料)和使用流體輸送機械等。
如圖5—9所示,擬用高位水槽輸送水至某一地點,已知輸送任務為25L/s,水管規格為Ф114X 4mm,若水槽及水管出口均為常壓,流體的全部阻力損失為62J/kg,問高位水槽液面至少要比水管出口高多少米?
解? 在高位水槽液面1—1和水管出口截面2—2之間列柏努利方程,得
即高位水槽的液面至少要比水管出口截面高6.8m,才能保證完成輸送任務。
可以看出,通過設置高位槽,可以提高上游截面的能量,從而可以保證流體按規定的方向和流量流動。
危險化學品泄漏應急響應和處置措施
液氨儲罐風險點告知卡
低溫甲醇洗消耗偏高原因及解決措施
裝卸搬運作業安全風險告知卡
檢維修作業安全風險告知卡
蒸化作業安全風險告知卡
刷毛作業安全風險告知卡
整經作業安全風險告知卡
受限空間作業安全要求
進入有限空間作業注意事項及預防措施
應急救援預案演練評價報告記錄
天然氣危險性分析
化驗室潛在安全隱患與防護措施
埋地燃氣管道的安全間距控制
危險源辨識及風險控制
重大危險源辨識、評價及監控