1前言
高壓旋噴是利用鉆機把帶有噴嘴的注漿管鉆至土層的預定位置后,能過高壓設備使漿液成為高壓射流從噴嘴噴射出來沖擊破壞土體結構,使土體變成散狀的土粒;土粒一部分隨漿液冒出地面,別一部分在噴射流的沖擊力、離心力和重力等作用下,與漿液攪拌混合;漿液凝固后,在土中形成一個高強度固結體,從而達到加固地基,改善土體的變形性質的目的。本文以筆者曾參與管理的華西怡園工程為例,介紹高壓旋噴樁在地基處理中的設計和施工方法。
華西怡園工程位于成都市星輝東路,分別為11層、9層、7層的商住樓群,基礎型式為獨立柱基,持力層為中密卵石層,承載力特征值要求?
ak≥350kPa。
2.場地工程地質概況
該建筑場地地貌單元屬岷江水系Ⅰ級階地,場地內地形較平坦,根據地勘資料,其地層結構見表1。
場地內地層結構簡表
見表 本工程基坑土方采用機械開挖,當挖至設計基底標高以上300mm時,我們檢查發現有厚度不等,分布、走向均無規律的軟弱下臥層(砂和松散卵石的透鏡體),從探坑處發現砂層厚度最深處為-6.3m。由于設計對地基承載力的特征值和變形模量要求較高:承載力特征要求?
ak≥350kPa,變形模量要求E
0≥22MPa。為達到設計要求,我們比較了CFG樁、注漿加固、換填法、高壓旋噴法、鋼管樁等地基加固處理方法(詳細比較見表2),最終確定方案為:①對埋藏較深,厚度大的軟弱下臥層地段,采用高壓旋噴樁復合地基處理方案;②對埋藏較淺,厚度較小的軟弱下臥層地段,采用C10砼換填處理。
高層建筑軟弱地基處理方法比較表
見表 本工程設計基礎為獨立柱基,持力層為處理后的復合地基,依據《建筑地基處理技術規范》(JGJ79-2002)和《建筑地基基礎設計規范》(GB50007),并結合本地區類似工程情況,高壓旋噴樁復合地基設計計算參數確定為:
①樁徑:設計樁徑為550mm
②設計樁長:旋噴樁以中密卵石層為樁端持力層,對基底下5.0m內的中砂、松散卵石層進行加固,并進入中密卵石層0.5m以上,為滿足樁端承載力和樁側摩阻力值,樁長不小于4.0m。
③樁數:由面積置換率確定,面積置換率m用下式計算:
?
spk=mR
a/A
p+β(1-m)f
sk 式中?
spk為要求達到的復合地基承載力特征值(kPa)取350kPa;m為面積置換率;A
p為樁的截面積(m
2),本工程為0.24m
2;?
sk為樁間土承載力特征值(kPa)取120kPa,β為樁間土承載力折減系數,取0.4,R
a單樁豎向承載力特征值,取下兩式較小值:
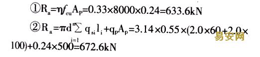
η為強度折減系數,取0.33
?cu為樁試塊無側限坑壓強度平均值(kPa)
d為樁的平均直徑,取0.55m
n為樁長范圍內所劃分的土層數
lI為樁周第I層土的厚度
qsi為樁周第I層土摩阻力標準值,中砂取60kPa,卵石取100kPa
qP樁端天然地基土的承載力特征值,取500kPa為確保工程質量,Ra取600kN
由以上數值求得m=0.123,取m=0.13
根據獨立基礎下一般不應少于4根樁的要求,共布樁556根。
4.旋噴樁施工
高壓噴射注漿法的基本工藝類型有:單重管法,二重管法,三重管法和多重管法等方法,本工程采用單重管法,其施工工序為:

有關工作參數:
①切削壓力20MPa
②超高壓硬化材料(水泥漿+水玻璃)噴射速度25l/min
③上提速度5~10m/min
我們在旋噴樁施工過程中著重控制以下幾點:
①復核施工樁位,確保樁位準確;②檢查其旋噴管的下放深度,當不能進入中密卵石層內0.5m時,必須采取跟管鉆探引孔;③為確保旋噴樁樁徑及樁身質量,要求施工單位復噴2~3次,同時檢查樁孔內的漿液是否冒出,若冒出,將冒出漿液回灌到樁孔內,直到樁孔內的漿液面不再下沉為止。
5.旋噴樁復合地基處理效果檢測
旋噴樁施工完成后28天,成都市建筑工程質量檢測測試站對該復合地基進行了靜載荷試驗:其檢測6組試驗點,3組單樁樁體載荷試驗點,3組樁間復合地基載荷試驗點。對單樁樁體載荷試驗采用平臺堆載,慢速加載法,由千斤頂反力如荷,精密百分表測量沉降。對樁間復合地基載荷試驗點,采用圓形和方形承壓板,由千斤頂反力加荷,精密百分表測量沉降。各檢測點檢測試驗結果見表3:
各檢測點檢測試驗結果
見表
根據檢測結果,經旋噴樁處理后其場地復合地基承載力特征值為352kPa,單樁豎向承載力特征值為604kN,滿足設計要求。
6.結語
成都地區是四川省高層建筑的匯聚地,由于川西平原地層特點,其卵石層埋藏較淺,承載力高,變形小,是良好的基礎持力層。但由于卵石層的成因原因,卵石層中常夾有砂層或砂層透鏡體,構成不均勻地基,承載力和壓縮模量達不到設計要求,因此通常要對其軟弱夾層進行加固處理。處理常用的方法有:CFG樁、注漿加固、換填法、高壓旋噴法、鋼管樁等。通過華西怡園項目地基軟弱下臥層加固處理的實際應用,對卵石層中軟弱夾層,運用高壓旋噴法是較為安全經濟的處理方法,且對于開挖暴露的深基坑提高施工工效具有顯著的效果。