表1 性質相抵觸的爆炸物品一覽表

注:1)“+”表示能同車(船)運輸、同庫貯存。
2)“-”表示不能同車(船)運輸、不能同庫貯存。
4.1.2.4運輸爆炸物品的車(船)要懸掛“危險”標志旗,配備滅火器;裝載牢固,箱與箱之間不許相互碰撞;貨物包裝牢固、嚴實,蓬布要蓋嚴,外面加網罩,防止丟失。車輛運輸要安裝接地鏈條。
4.1.2.5裝運爆炸物品的車(船)要限速行駛,避免緊急制動,隊車(船)行駛時,前后車要保持50m以上的距離,上下坡時要適當拉大距離。
4.1.2.6運輸爆炸物品在途中停歇住宿時,要事先與當地公安機關取得聯系,按公安機關指定地點停放,并有專人看守。
4.1.2.7運輸爆炸物品的駕駛員和押運人員不得吸煙、攜帶火種和其他易燃品,停歇時禁止在車(船)附近20m以內使用明火。
4.1.2.8運行途中押運人員必須在車上押運,不準坐駕駛室(集裝箱除外)。
4.1.2.9押運人員必須履行職責,裝卸車(船)時要認真檢查,核實數量與爆炸物品名稱。
4.1.2.10駕駛人員須服從裝卸現場監護人員指揮,經同意后方可開車(船)。途中任何人不準擅自離車(船)或辦其他事宜。
4.1.2.11雷雨、大霧天氣禁止運輸;冰雪、泥濘路面運輸時,運輸車輛要采取防滑措施。
4.2工地運輸
4.2.1地震隊開工前應與施工區所在縣(市)公安機關取得聯系,并辦理施工期的運輸手續。施工期結束后,應將《爆炸物品運輸證》交回原發證的公安機關。
4.2.2工地運輸爆炸物品必須遵守長途運輸中的有關規定。
4.2.3施工中要指定專用車(船);駕駛員要熟悉有關運輸爆炸物品的安全知識,不得隨意調換。
4.2.4炸藥包禁止用車(船)運輸或存入庫中。
4.2.5運輸爆炸物品的車輛不準安裝和使用無線電通信設備。
4.2.6施工過程中,嚴禁將裝運爆炸物品的車(船)停放在村莊、高壓線及重要設施附近。
4.3爆炸物品的裝卸和搬運
4.3.1裝卸爆炸物品時,要有專人負責組織和指導安全操作。裝卸人員必須懂得裝卸爆炸物品的安全常識,禁止無關人員進入裝卸作業區。
4.3.2裝卸爆炸物品應盡量在白天進行,必須在夜間裝卸時,要有安全照明設備并加強警戒。
4.3.3搬運和裝卸爆炸物品時,必須輕拿輕放,嚴禁振動、捶擊、磨擦、拋擲和倒置。
4.3.4性質相抵觸的爆炸物品不能在同一地點同時裝卸。
4.3.5裝運車(船)進入庫區后熄火,駕駛員不準離開駕駛室,車(船)與庫房距離不得小于2m。
4.3.6雷雨天氣禁止裝卸爆炸物品。
4.3.7人力或牲畜搬運時,性質相抵觸的爆炸物品必須分裝分運。
4.3.8人力向包藥點搬運爆炸物品時,一人一次搬運的重量按表2規定進行。
表2 爆炸物品人工搬運和裝卸定量表

5 爆炸物品的貯存與管理
5.1庫房
5.1.1爆炸物品固定庫按照原國家物資總局制定的《物資技術保管規程》中有關規定執行。
5.1.2在地震隊施工期間應設爆炸物品臨時庫,也可租用地方彈藥庫。
5.2爆炸物品的貯存
爆炸物品的貯存須經所在地的縣(市)公安機關的批準,領取《爆炸物品貯存許可證》后方可存放,按定員編制配備警衛人員日夜守衛。
5.3設置爆炸物品庫的要求
5.3.1炸藥庫安全距離應符合表3、表4、表5的規定。
表3 炸藥庫至住宅區或村莊邊緣的最小距離

表4 隧道式峒庫至住宅或村莊邊緣的最小距離

表5 深埋式峒庫至住宅區或村莊邊緣的最小距離

5.3.2庫區與重要設施安全距離由式(1)確定(經驗公式):

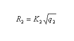
5.3.3炸藥庫房之間最小允許距離,按殉爆考慮符合規定的距離,按式(2)確定(經驗公式):

表6 炸藥庫房之間殉爆安全系數K2值

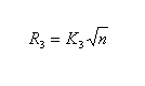
5.3.4雷管庫與炸藥庫之間最小允許距離,按式(3)確定(經驗公式):

表7 雷管庫與炸藥庫之間殉爆安全系數K3值

5.3.8臨時庫應設置滅火機、消防水桶、鐵鍬、鐵鉤等消防器材,專人保管,定期檢查。
5.4爆炸物品臨時庫的安全管理規定
5.4.1爆炸物品庫要建立嚴格的值班、檢查、登記、驗收制度。
5.4.1.1警衛人員必須持證上崗,配備必要的防身武器,24h值班,嚴禁酒后上崗、亂崗、串崗、睡崗。
5.4.1.2禁止無關人員進入庫區。
5.4.1.3填寫值班日志。
5.4.1.4警衛人員應進行日常巡回安全檢查:查爆炸物品數量是否與帳相符,查看門窗有無損壞,查庫區周圍有無火源、易燃物品及其他不安全因素。
5.4.2爆炸物品存放應符合以下規定。
5.4.2.1爆炸物品宜單庫存放,起爆點火器材不得與炸藥同一庫房存放,如果兩種以上同品種爆炸物品同庫存放,必須符合表1規定。
5.4.2.2雷管入庫,需存放在雷管庫或專用雷管箱內,并做好滅鼠工作。已拆箱雷管,必須短路存放。
5.4.2.3爆炸物品臨時庫,炸藥每次最大庫存不得超過10t,雷管每次最大庫存不大于5000發。
5.4.2.4炸藥存放,炸藥垛放每垛間距不小于 0.5m,炸藥離庫房墻壁不小于0.2m。
5.4.2.5沙漠地區臨時存放爆炸物品時,必須采取遮蓋隔熱措施,防止日曬、雨淋。
5.4.2.6儲存爆炸物品數量較大時,必須采取分散存放方法,嚴禁超量集中儲存。
5.4.3建立爆炸物品出、入庫檢查驗收登記制度,填寫炸藥、雷管進出庫班報[報表格式見附錄A(補充件)],做到帳目清楚,收支平衡、帳物相符。
5.4.4庫房內應使用防爆手電筒照明,嚴禁在庫內安裝電氣設備和電氣照明裝置,禁止吸煙和動用明火。
5.4.5禁止將易燃易爆物品帶入庫區。禁止在庫房內住宿和進行與工作無關的活動。
5.4.6庫區周圍20m內無雜草,無易燃易爆物品堆放,保持清潔,要設置安全防火標志牌。
5.4.7裝有電臺的車輛及隨身佩帶便攜式無線對講機的人員不得接近炸藥庫,雷管庫。安全距離見表8。
表8 無線電發射機與爆炸物品庫的最小安全距離

5.4.8在庫區內拉運爆炸物品的車輛或其他動力設備,應裝防火罩,防止火災的發生。
5.4.9報廢炸藥和完好炸藥要分別存放。
5.4.10發現爆炸物品丟失、被盜,應立即報告上級主管部門和所在地公安機關。
6 爆炸物品的使用與管理
6.1平原地區
6.1.1現場管理要求
6.1.1.1使用爆炸物品的地震隊必須持有爆炸物品名稱、規格、數量的證明以及施工所經過的城鎮、鐵路、公路、高壓輸變電線路和大型建筑物、構筑物等有關施工圖及文件、安全操作規程,向施工區所在地的縣(市)公安機關申領《爆炸物品使用許可證》,方準施工。
6.1.1.2接觸爆炸物品的人員(包括爆炸機操作員、包藥員及庫房的警衛、保管人員)都必須經過單位安全部門審查,安全知識教育和專業培訓。爆炸機操作員應領取當地縣(市)公安機關考核后發給的《爆炸員作業證》,無證者不能上崗操作。
6.1.1.3每年由單位公安保衛部門對爆炸員進行定期復審,對已不再從事爆炸工作或不適應爆炸作業的人員應及時收回其《爆炸員作業證》,并交回原發證單位。
6.1.1.4接觸爆炸物品的人員必須穿戴好防靜電工作服,禁止穿戴化纖服裝和穿釘子鞋。
6.1.1.5使用爆炸物品必須建立領取清退制度,當天剩余的要當天退回。必須做到儀器班報、爆炸班報和警衛班報收支帳目“三對口”
6.1.2雷管測試
6.1.2.1雷管測試須用毫安表,最大輸出電流不大于0.03A,一次通電時間小于2s。
6.1.2.2測試雷管須選擇安全地帶,人員離開雷管10m以外。
6.1.2.3嚴禁地面測試裝入炸藥包的雷管。井內測試人員必須離開井口30m以外。
6.1.3炸藥包制作
6.1.3.1在地震勘探作業現場制作炸藥包時,與拉運爆炸物品的車距離不小于10m。
6.1.3.2炸藥包的制作由包藥員完成。在制作時,設警戒區為15m,禁止在車上做炸藥包。
6.1.3.3取用雷管應疏管拿取,不得牽管抽線,隨用隨取,取用后雷管箱上鎖,雷管腳線不得提前剪短,腳線剝皮要使用防爆剝皮鉗,禁止牙咬,手拽。腳線剪斷后必須短路。
6.1.3.4制做炸藥包前,應先檢查炮線,確認完好并有足夠長度,將一端短路盤好,另一端接雷管。
6.1.3.5做好藥包后,炮線要繞在炸藥包上并打結;若炸藥包為多個藥柱組成,應最后裝起爆藥柱。
6.1.3.6制作好的炸藥包要安置防上浮器或采取其他防上浮措施。不準在空中或地上拖拽炸藥包。
6.1.3.7同一炮點禁止同時包裝、存放兩個或兩個以上炸藥包,多井組合應包完一包下井一包。
6.1.3.8鉆機未撤離井場時,炸藥包應暫放置井場15m以外,并有專人看守,防止車輛碾軋。
6.1.4炸藥包下井
6.1.4.1下炸藥包時,炮線應避免打結,松緊適度。
6.1.4.2使用下藥工具時,應用穩定壓力,不得用力沖擊、振動,禁止用鉆桿和利用鉆機之力強壓炸藥包。下完炸藥包,要輕提炮線,檢查炸藥包是否上浮??优谙滤幒?,坑上要用土埋實,禁止用石塊或硬土填埋土坑,要隨時有人監護。
6.1.4.3炸藥包下井遇卡,不得硬性下砸或提拔,否則作為盲炮引爆。
6.1.5激發
6.1.5.1在放炮前,爆炸員必須檢查井(坑)周圍的危險區內有無房屋、橋梁、水堤、輸電通信線路和輸油輸氣管道等建筑物、構筑物,如有并對其構成威脅時,不準放炮。
6.1.5.2爆炸機操作員放炮前要檢查并確認炸藥包無上浮,方準將炮線帶往爆炸站,由爆炸機操作員親自連接炮線。嚴禁使用爆炸機以外的任何電源進行爆炸作業。
6.1.5.3爆炸站設置在井(坑)口通視良好的上風方向。安全距離一般為:
a.炮井為粘土、沙土層,不小于30m;
b.炮井為巖石、凍土層、不小于60m;
c.坑炮、小折射放炮,不小于100m。
6.1.5.4爆炸機操作規定如下:
a.爆炸機操作員不準提前將炮線接入爆炸機,并不得提前充電;
b.放炮時正確操作,譯碼器(爆炸機)各插孔??讓S茫鞑孱^不得插錯或交叉,正確選擇工作開關,嚴防誤操作造成爆炸事故發生;
c.當放炮發生拒爆而臨時決定試信號時,必須先將炮線從爆炸機上取掉。
6.1.5.5在接近危險區的邊界處(即安全距離)應設警戒崗哨和安全標志,禁止人、畜、車(船)進入危險區域內。
6.1.5.6受地形限制從爆炸站至炮井(坑)為盲區時,放炮前必須派專人到看得見井(坑)口與爆炸站的安全地方設崗哨,用旗語傳遞信號,在確保安全的情況下才能放炮。
6.1.5.7爆炸站的作業人員必須佩帶好安全帽。
6.1.5.8放炮之前,爆炸機操作員再次檢查危險區內的安全情況,發現井場有雙炮線時,嚴禁放炮。符合安全要求后方可報告儀器操作員準備放炮,儀器操作員收到爆炸機操作員的放炮通知后,才能下達放炮準備指令。
6.1.5.9爆炸機操作員決定放炮時間,需由儀器記錄站提供爆炸瞬時間。
6.1.5.10放炮必須設立旗語標志(紅旗規格400×300mm),紅旗上舉為已準備好,表示已經撤離到安全地帶可放炮,不得用口語代替旗語。
6.1.5.11每炮必須如實填寫爆炸班報,其格式見附錄B(補充件)。
6.1.5.12當發現炮點與爆炸站之間穿過高壓電線時,要保證放炮后炮線不能碰上高壓線,安全距離見附錄C(補充件),并在放炮前把炮線固定在井(坑)的地面上,放完炮立即拔掉爆炸機上的炮線。
6.1.5.13產生盲炮時,必須拔掉爆炸機上的主炮線,并短路再查找原因。
6.1.5.14在電磁波干擾源附近施工放炮時,應按表8規定的安全距離執行。
6.1.5.15由于天色昏暗、大雪、濃霧或其他原因而造成與井(坑)口的通視不良以及打雷時,必須停止爆炸作業。
6.1.5.16一般不準夜間作業,必須夜間作業時,要備足安全照明設備。
6.1.5.17當天下井的炸藥包應在當天放完;因故不能放完時,要派專人看管。
6.1.5.18水坑放炮時,水深必須超過1.5m,單包炸藥量不得大于2kg,必須將爆炸點周圍的石塊清除干凈,禁止用石塊或鐵器等重物壓在藥包上起爆。
6.1.5.19用導爆索做爆炸震源,采用機械挖溝鋪設導爆索時,機械未離開溝線,不得倒車和回轉;當各炮點的導爆索相距較近或重疊一段時,爆炸人員應仔細檢查,分清起爆先后,依次按順序接雷管和炮線。
6.1.6激發后的善后處理
6.1.6.1爆炸機操作人員,要檢查爆炸現場,當無異常情況時,方可解除警戒。
6.1.6.2剛爆炸完的井(坑),禁止搶拔井(坑)口炮線,防止毒氣熏人或井口塌陷而掉入坑內。
6.1.6.3.對盲炮,必須采取引爆方式處理,禁止采用捅、挖的辦法。
6.2水域地區
6.2.1凡在江河、湖泊、沼澤、鹵池及海灘施工,均屬水域作業。
6.2.2水域地區爆炸物品使用應遵守平原地區爆炸物品使用管理的有關規定。
6.2.3在水域地區進行地震勘探爆炸作業時,必須事先取得國家海洋局,航運局、水產局、港口碼頭、水庫管理局、堤防部門等單位的同意,并遵守上述有關部門的規定。
6.2.4禁止在濃霧、夜間進行爆炸作業。
6.2.5爆炸作業船(車)按規定配備通信設備、救生器材、消防器材,非爆炸作業人員不得上爆炸作業船。
6.2.6爆炸作業船(車)距爆破點的安全距離不小于100m。
6.2.7爆炸作業船(車)通信設備必須保證與其他勘探船的聯系暢通,爆炸作業船(車)上的通信設備與爆炸物品的安全距離按表8執行。
6.2.8裝運爆炸物品的作業船(車)與其他作業船只的距離要在200m以上,船上設警告標志。
6.2.9水域放炮必須專船(車)專用,做藥包與放炮禁止同船(車)作業。
6.2.10水下炸藥包相對的水面上應有明顯的浮標標志,采取必要手段,使炸藥包達到設計深度。
6.2.11系在水下電纜上的炮點位置浮標要與炸藥包浮標用不同顏色加以區別。
6.2.12禁止將炮線浮標系在炸藥包上,炮線應由專人看管。
6.2.13炸藥包制作完畢后必須立即下水,不得在船(車)上存放。
6.2.14爆炸物品必須存放于距輪機最遠的位置。雷管嚴禁在保險箱外存放。
6.2.15不得在水中和水底拖拉和撞擊炸藥包,炸藥包沉到所需深度前爆炸作業船(車)不得離開。爆破作業船(車)撤至安全地點后應首先檢查是否將炸藥包帶至船泊周圍。
6.2.16爆炸點周圍的危險區之外,要設警戒船,警戒半徑不小于200m,對往來船只應發出信號,指示其行駛的航向,避免誤入危險區或靠近爆炸作業船(車)。
6.2.17發現裸露藥包漂浮水面或出現其他異?,F象時,禁止起爆。
6.2.18起爆前,要發出明顯的聲響向四周報警,所有船(車)必須全部迅速撤出危險區。
6.2.19在急流段爆炸作業時,爆炸作業船必須由定位船或固定站的纜繩固定,定位船的位置應設標控制,防止走錨移位。
6.2.20爆炸作業船(車)存放的爆炸物品應與其他工具、物品分開放置;不得在爆炸物品上壓重物,不許腳踏;要采取防撞擊、防磨擦、防火、防高溫、防電擊等安全措施。
6.2.21炸藥包發生拒爆時,必須切斷電源,并將炮線短路方可進入現場檢查。
6.2.22水下的拒爆炸藥包可用下列方法處理。
6.2.22.1在拒爆炸藥包附近按設裸露炸藥包殉爆。
6.2.22.2小心地將拒爆炸藥包提出水面排除故障后,重新投入水下。
6.3沙漠地區
6.3.1沙漠地區爆炸物品使用應遵守平原地區爆炸物品使用管理的有關規定。
6.3.2使用空氣鉆打的井下炸藥包時,未用冷卻水或冷卻溫度未降到65℃以下,不得下炸藥包。
6.3.3放炮以后收炮線時,要警惕井口塌陷。
6.3.4放炮以后要排除拒爆藥包。
6.3.5嚴禁把損壞的爆炸物品用來拷火取暖。
6.3.6在施工道路(測線)兩側25m以外放置炸藥包,嚴禁在道路(測線)中間進行爆炸作業。
6.4山地地區
6.4.1山地地區爆炸物品使用應遵守平原地區爆炸物品使用管理的有關規定。
6.4.2炸藥和雷管要分裝搬運。要保持10m以上距離。
6.4.3凡是人抬肩扛爆炸物品,應整包裝搬運,防止丟失被盜,行進路途要有專人監護。
6.4.4搬運爆炸物品的隊伍中,不準攜帶報話機、電臺、電瓶或其他電氣設備。
6.4.5爆炸站與井口的安全距離,按式(4)確定(經驗公式):

附錄A
炸藥、雷管進出庫班報表格式 (補充件)

附錄B
地震隊爆炸班報表格式(補充件)

附錄C
地震炮點同高壓網最近點的安全距離(補充件)
C1 地震炮點與高壓電網之間的安全距離不小于表C1規定
表C1 地震炮點與高壓電網之間的安全距離

附錄D
爆炸物品購買格式 (參考件)

附錄E
爆炸物品運輸證格式 (參考件)

起重機 司機室和控制站 第4部分:臂…
鋼絲繩吊索 插編索扣
船用焚燒爐煙氣排放測量方法
電梯安全要求 第2部分:滿足電梯基本…
客運拖牽索道技術規范
鍋爐給水泵用機械密封技術規范
固定式金屬梯及平臺安全要求 第1部分…
埋地管道風險評估方法
簡單壓力容器安全技術監察規程【作廢】
氣瓶充裝許可規則[作廢]
起重吊運指揮信號【作廢】
特種設備使用管理規則
電絕緣鞋通用技術條件
鍋爐安裝改造單位監督管理規則
可燃氣體檢測報警使用規范
起重機械危險部位與標志