本標準規定了生產中使用手持振動工具或手接觸受振工件的標準限植及測試方法。
本標準適用于生產中使用手持振動工具或手接觸受振工件的所有作業。
1 名詞術語
1.1 局部振動
生產中使用手持振動工具或接觸受振工件時,直接作用或傳遞到人的手臂系統的機械振動或沖擊。
1.2 日接振時間
工作日中使用手持振動工具或接觸受振工件的累積接振時間為日接振時間,單位為h/d。
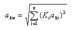
1.3 頻率計權振動加速度(a
hw)
按不同頻率振動的人體生理效應規律計權后的振動加速度,單位為m/s
2,可用式(1)計算:

………………………………………………(1)
式中:ahi——第i頻段的振動加速度;
KI——第i頻段的計權系數,見附錄A;
N——總頻段數。
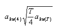
1.4 四小時等能量頻率計權振動加速度[ahw(4)]
在日接振時間不足或超過四小時時,要將其換算為相當于接振四小時的頻率計權振動速度值,可用式(2)計算:

………………………………………………(2)
式中:T——日接振時間,h/d
2 衛生標準限值
2.1 使用振動工具或工件的作業,工具手柄或工件的四小時等能量頻率計權振動加速度不得超過5m/s2。
3 測試方法及要求
3.1 局部振動測試點應選在工具手柄或工件手握處附近。
3.2 傳感器應牢固地固定在測試點。
3.3 振動測量應按正交坐標系統的三個軸向進行,取最大軸向的四小時等能量頻率計權振動加速度為被測工具或工件的振動。
3.4 測試振動要先獲得1/1或1/3倍頻程頻譜,然后按式(1)計算頻率計權振動加速度。如果振動測試儀器有計權網絡部分,可以直接讀取。
3.5 對于峰值因數很高的沖擊振動,測試時需在傳感器和被測工具之間加裝機械式低通濾波器,以防過載影響測量結果。
3.6 振動測試儀器應符合國家標準,按期由國家計量部門校準。
4 監督執行
各級衛生防疫機構負責本標準的執行。
附錄A
計算頻率計權振動加速度的計權系數
(補充件)
表A1 1/1或1/3倍頻程的計權系數Ki

附錄B
日接振時間計算法
(補充件)
B1 對操作時間過短的作業,應以秒表準確測定每次操作所消耗的時間,測10次,取平均值作為該次操作需要的時間,再乘以日需要完成的該操作次數,即得日接振時間。如鉚釘作業 ,應用秒表測定每打一只鉚釘所消耗的時間,測10次,取平均值即每打一只鉚釘所需要的時間,再乘該鉚釘的日消耗鉚釘數,即得出鉚工的日接振時間。
B2 對操作時間較長的作業,應選擇有代表性的工作日,全日跟班,用秒表累積記錄全天的操作時間,即日接振時間。
B3 以上兩種方法均應選擇接振工人三至五人,連續記錄三天,計算平均值,最終換算出日接振時間(h/d)。
附錄C
正確使用標準的說明
(參考件)
當振動工具的振動暫達不到標準限值時,可按振動大小縮短日接振時間,具體要求參見表C1。
C1

_____________________
附加說明:
本標準由衛生部衛生防疫司提出。
本標準由哈爾濱醫科大學公共衛生學院,中國預防醫學科學院勞動衛生與職業病研究所負責起草。
本標準主要起草人周德林、姚安子、陳力。
本標準由衛生部委托技術歸口單位中國預防醫學科學院勞動衛生與職業病研究所負責解釋。