目次
前言
IEC前言
1 概述
2 定義
3 一般要求
4 試驗中一般注意事項
5 標志
6 終端結構
7 爬電距離和電氣間隙
8 額定電壓
9 熔斷器
10放電電阻
11 試驗程序
12 密封和加熱試驗
13 高電壓試驗
14 耐異常工作條件的性能
15 耐熱、耐火和耐電痕
16 自愈性試驗
17 破壞試驗
附錄A(標準的附錄)試驗電壓
附錄B(標準的附錄)試驗箱的溫度調節
附錄C(揭示的附錄)制造商的合格性試驗
前言
本標準的全部技術內容為強制性。
本標準等同采用國際標準IEC 61048:1991《管形熒光燈和其他放電燈線路用電容器——一般要求和安全要求》,以及1995年和1999年兩個修改件,在技術內容和編寫格式上與IEC原件一致。
IEC 61048:1999中引用的其他IEC、ISO標準,其中一部分已制定為我國的國家標準,還有一部分我國還沒有制定。在本標準中,已制定為我國標準的列上我國的標準號,并用括號列出相應的IEC、ISO標準號;沒有制定為我國標準的,直接引用國際標準,列上IEC標準號和標準名稱。
本標準的附錄A和附錄B是標準的附錄。
本標準的附錄C是提示的附錄。
本標準由國家輕工業局提出。
本標準由全國照明電器標準化技術委員會電光源及其附件分會歸口。
本標準由福建源光亞明電器股份有限公司、安徽省寧國市電器有限責任公司、北京電光源研究所負責起草。
本標準主要起草人:王軍、張和泉、溫海波、張靄若。
IEC前言
1)IEC有關技術問題方面的正式決議和決議在盡可能的限度內表達了國際間的有關各種問題的一致意見,因為每一個技術委員會都有對此感興趣的各國委員會的代表參加。
2)為國際之間使用而出版的推薦標準、技術規范、技術報告或導則,在某種意義上皆由各國委員會采納。
3)為了促進國際間的統一,IEC各國委員會應保證在其國家和地區標準上,盡可能最大限度地等同采用IEC國際標準,IEC標準與國家或地區標準之間存在的任何差異,均應在后者中明確地說明。
4)IEC委員會不提供任何表示合格認證的標志,對任何設備裝置宣稱其符合IEC委員會的某種標準不承擔責任。
IEC 61048國際標準由IEC 34技術委員會(燈及其有關附件)的34C分技術委員會(氣體放電燈附件)制定的。
本標準的內容及其第1號、2號修訂件內容以下列文件為依據。

有關本標準投票表決通過的具體情況,可在上表中所列的表決報告中了解到。
附錄A和附錄B為本標準的正式內容。
附錄C僅作為參考內容。
1 概述
1.1 范圍
本標準規定了額定電壓不超過1 000V,電容量不低于0.1µF,無功功率不超過2.5kvar,能持續承受交流電壓的自愈式和非自愈式電容器的要求,電容器用于工作頻率為50Hz或60Hz,海拔不超過3 000m的放電燈線路。*
本標準包括用于與燈線路并聯、串聯或串并聯組合的電容器。
本標準只包括用紙或塑料膜絕緣或用二者相組合絕緣的浸漬式或非浸漬式電容器,它們經金屬化處理或帶有金屬箔電極。
本標準不包括射頻干擾抑制電容器,對于這類電容器的要求,見GB/T 14472。
本標準中的試驗屬于型式試驗,不包括在生產過程中對個別電容器的試驗。
*這類燈及其配套鎮流器見下列標準:
GB 2313-1993 管形熒光燈鎮流器一般要求和安全要求 idt IEC 60920:1990
GB 10682-1989 普通照明用管形熒光燈 neq IEC 60081:1984
GB 14045-1993 放電燈(管形熒光燈除外)用鎮流器的一般要求和安全要求 eqv IEC 60922:1989
QB/T 2051-1994 熒光高壓貢燈泡 neq IEC 60188:1988
IEC 60192:1988 低壓鈉燈
1.2 引用標準
下列標準所包含的條文,通過在本標準中引用而構成為本標準的條文。本標準出版時,所示版本均為有效。所有標準都會被修訂,使用本標準的各方應探討使用下列標準最新版本的可能性。
GB/T 2423.3-1993 電工電子產品基本環境試驗規程 試驗Ca:恒定濕熱試驗方法(eqv IEC 60068-2-3:1984)
GB 4208-1993 外殼防護等級(IP代碼)(eqv IEC 60529:1989)
GB/T 4687-1984 紙、紙板、紙漿的術語 第一部分(neq ISO 4046:1978)
GB/T 5169.5-1997 電工電子產品著火危險試驗 第二部分:試驗方法 第2篇:針焰試驗(idt IEC 60695-2-2:1991)
GB/T 5169.12-1999電工電子產品著火危險試驗 試驗方法 材料的灼熱絲可燃性試驗(idt IEC 60695-2-1/2:1994)
GB 7000.1-1996 燈具一般安全要求與試驗(idt IEC 60598-1:1992)
GB/T 9815-1998 家庭及類似用途的熔斷器(idt IEC 60241:1968)
GB 13539-1992 低壓熔斷器(neq IEC 60269)
GB/T 14472-1998 電子設備用固定電容器 第14部分:分規范 抑制電源電磁干擾用固定電容器(idt IEC 60384-14:1993)
GB/T 18504-2001 管形熒光燈和其他放電燈線路用電容器 性能要求(eqv IEC 61049:1991)
IEC 60410:1973 計數檢驗抽樣方案的程序
2 定義
本標準采用下述定義:
2.1 額定電壓(Un) rated voltage(Un)
電容器上所標志的正弦波電壓的有效值。
2.2 額定最高溫度(tc)rated maximum temperature(tc)
指電容器表面最熱部分在工作期間不得超過的溫度。
注:電容器的內損耗雖然不大,但會使表面溫度超過環境溫度,因此應為此留出適當余量。
2.3 額定最低溫度 rated minimum temperature
指電容器表面任何部分在低于該值時不得給電容器通電的溫度。
2.4 放電電阻 discharge resistor
指跨接于電容器接線端子之間的電阻,用來降低儲存于電容器內的電荷造成沖擊的危險。
2.5 損耗角正切值(tan δ) tangent of loss angle (tan δ)
指在額定頻率正弦波電壓下,電容器的功率損耗除以電容器的無功功率所得的值。
2.6 自愈 self-healing
指電容器的電特性在發生局部電介質擊穿后迅速而基本地恢復到擊穿前的值的過程。
2.7 型式試驗 type test
指對型式試樣所進行的一項或一系列試驗,其目的在于檢驗給定產品的設計是否符合有關標準的要求。
2.8 型式試樣 type test sample
指制造商或銷售商為型式試驗所提交的由一個或幾個相同整件組成的樣品。
2.9 A類電容器 capacitor of type A
無斷路裝置的自愈式并聯電容器。
2.10 B類電容器 capacitor of type B
有斷路裝置用于串聯照明電路中的自愈式電容器或自愈式并聯電容器。
3 一般要求
電容器的設計應使其在正常使用中安全地發揮功能,不致給人員及周圍物體來危害。
所有暴露的金屬部件都應采用有色金屬制作,或者具有防銹蝕保護。不得發生明顯的銹蝕。第14章中的試驗可表明電容器是否具有充分的防銹蝕保護。
對機械強度的檢驗方式待定。
對第3章至第10章要求的檢驗方法,是通過測量、目視檢查并進行本標準中規定的全部試驗項目。
4 試驗中一般注意事項
按本標準進行的試驗屬于型式試驗。
注:本標準所規定的要求和允差,涉及對為此目的而提交的型式試樣所進行的試驗,型式試樣合格并不能保證制造商的全部產品符合本安全標準。除型式試驗外,制造商有責任確保產品合格,包括采取例行試驗和質量保證措施。
電容器應經受第11章中規定的試驗。
除另有規定者外,試驗應在環境溫度20℃±5℃下進行,并應采用附錄A中規定的適當電源電壓。
各條款中規定的試驗溫度,允差都為±2℃,但另有規定者除外。
除另有規定者外,如某類型的電容器在某條規定的試驗中,不合格品數不超過一只,即認為已通過該項試驗。如不合格數為三只或多于三只,則該類型即算不合格。如在某項試驗中,不合格品數為兩只,則應采用相同數量的電容器重復該項試驗以及在這之前進行的對試驗結果可能有影響的試驗項目,如復試中再出現不合格,則該類型即為不合格。
注:按本標準要求進行的各項試驗中,只準有一項重復試驗。對于第17章規定的破壞試驗,如發生嚴重破損,則不允許進行重復試驗。
對于結構、額定電壓和截面積都相同的一系列電容器,在按第11章的要求分組時,每組所包含的具有該系列中最高和最低電容量的電容器數量應盡可能相同。
此外,制造商應提供該系列中每種電容量的外殼的單位總表面積的電容比。如果此項比值超過該系列中最大電容量的10%,就應對單位表面積電容量最大的電容器也進行試驗。同樣,如果此項比值小于該系列中的最小電容量的10%,就應對單位面積電容量最小的電容器進行試驗。
“面積”是指電容器外殼的外表面的總面積,小的突出部,接線端子及固定柱都忽略不計。
按照這種程序進行試驗時,該系列中所有帶中間值的電容器都可算通過試驗。
注
1“相同結構”是指相同的電介質材料,相同的電介質厚度,相同的外殼種類(金屬的或塑料的),相同的填充物或浸漬劑種類,相同的安全裝置,相同的金屬化物質(例如:鋅或鋁)。
2“截面形狀”有圓形、矩形、橢圓形等。
5 標志
5.1 電容器應具有下列清晰標志:
a) 制造商或銷售商的名稱或商標;
b) 制造商的產品目錄序號和(或)參考型號;
c) 額定電容量和允差;
d) 額定電壓;

該符號不得出現在帶有自愈式符號的電容器上。
注:這類電容器不得跨接于主電源之間。
k)根據功能標上A類或B類。
5.2 補充標志
a) 在配備有放電電阻時,應標志其電阻值。
b) 應標明電容器內是否含有在(t
c+10)℃時將變成液體的物質。
5.3 標志應清晰而耐久
檢驗辦法是用目視檢查,并用一塊浸水的軟布和另一塊浸汽油的軟布各輕輕擦拭15s。擦拭后標志仍應清晰可見。
注:所用汽油的成分應為溶劑已烷,所含芳香劑最多為0.1體積百分比,貝殼松脂丁醇值為29,初始沸點約為65℃,干點為69℃,密度約為0.68g/cm
3。
6 終端結構
6.1 終端結構可以是電纜(接頭)或接線端子(螺紋、無螺紋、焊片或類似元件)。終端結構所采用的導線尺寸及數目應與電容器的額定值及用途相適應。電纜(接頭)的截面積應與電容器的額定值相適應,但不得小于0.5mm
2,他們的絕緣性能也應符合電容器的額定電壓和溫度要求。
螺紋接線端子應符合GB 7000.1-1996第14章。
無螺紋接線端子應符合GB 7000.1-1996第15章。
6.2 電容器外殼為金屬時,應裝有接地端子或通過夾線板或固定卡子接地(或與燈具的其他金屬部件相連接)。外殼上裝有夾線板或卡子的部分不得涂漆或其他非導電涂料,以保證良好的電接觸。
通過目視檢查和以下試驗檢驗其合格性:
將至少為10A的電流相繼施加于接地端子或接地觸點與各個可觸及的金屬部件之間,所用電源的非負載電壓不得超過12V。測定在外殼與夾具或卡具之間的電壓降,并根據電流和電壓降計算出電阻值。在任何情況下,電阻值都不得超過0.5Ω。
上面最后一段要求不適用于全部由絕緣材料覆蓋的金屬外殼電容器,后者應按13.2進行試驗。
7 爬電距離和電氣間隙
接線端子絕緣外表面的爬電距離以及接線端子接線處外表之間或這些帶電部分和電容器金屬外殼(如有的話)之間電氣間隙應不小于表1給出的最小值。
這些最小距離只適用于帶外接線或不帶外接線的接線端子。
它們不適用于內部的爬電距離和電氣間隙。
通過測量檢驗其合格性。
任何小于1mm寬的槽,以其寬度作為爬電距離。
在計算總空氣路徑時,應忽略任何小于1mm的空氣間隙。
爬電距離為在空氣中沿絕緣材料表面測得的距離。
表1 最小爬電距離和電氣間隙 mm

8 額定電壓
電容器在額定溫度范圍以內,應能長時間承受不超過110%額定值的電壓。
通過第13章規定的試驗檢驗其合格性。
注:此項要求是針對由于電源波動而引起的電壓變化。
9 熔斷器
當電容器安裝有內熔斷器時,應予充分的保護、封閉和絕緣,以防止在正常使用中一旦熔斷器起作用時造成與金屬外殼間的跳電或接觸。
檢驗辦法是目視觀察和進行13.2和第15章中規定的試驗。
注:在設計任何內熔斷器時,都應將可能發生在電容器外部的短路因素考慮在內。
10 放電電阻
電容器可以在其接線端子間永久地跨接一個放電電阻。如果裝有該放電電阻,通過放電使電容器在1min內將施加于它的交流電壓從峰值降至50V以下。電阻值還應為超過額定值10%的電壓留出余地。
制造商應說明此項電阻值及允差。
通過測量檢驗其合格性。
注
1 在燈具總線路內,必須為所有電容器提供放電通道。本標準推薦采用電容器內電阻的方案,但也可采用其他方案。
2 在某些情況下,例如用插頭連接的燈具,可能不允許電壓在1min內通過放電降至50V,見GB 7000.1-1996中8.2.7。
11 試驗程序
將總數為51只(B類為61只)自愈式電容器或20只非自愈式電容器按以下要求分成兩組。
注:對于無功功率超過1kvar的電容器,試驗樣品數量由制造商與檢測機構協商決定。
對所有電容器都應按下列順序進行初始試驗:
a) 必要時,按第12章的規定進行密封和加熱試驗;
b) 按13.1的要求,在接線端子之間進行高電壓試驗;
c) 按13.2的要求,在接線端子與外殼之間進行高電壓試驗;
第一組為10只電容器,按第14章依次進行試驗,此試驗是檢查電容器在異常工作條件下,性能的維持是否達到設計要求。再按第15章進行耐熱、耐火和耐電痕試驗。
第二組為14只(B類為51只)自愈式電容器,用以進行第16章和第17章中的試驗。其中10只用于自愈性試驗,不再進行以后的試驗。其余的用于破壞試驗。
12 密封和加熱試驗
12.1 對A類電容器的密封和加熱試驗
填充料在(t
c+10)℃時成為液體的電容器應充分密封,并具有充分的耐熱性。
通過以下試驗檢驗其合格性。
將未通電的電容器放置于烘箱內,其位置應最易造成浸漬劑或填充料泄漏,并一直加熱至高出額定最高溫度(t
c)10℃,且在該溫度下保持1h。
在此試驗期間,不得出現浸漬劑或填充料泄漏現象。電容器也不得成為開路。
注:此項試驗不適用于制造商注明電容器內不含有在(t
c+10)℃時成為液體的填充料的電容器。
12.2 對B類電容器的密封和加熱試驗
電容器的密封是對過壓保護裝置的安全要求。此項測試是隨機試驗或型式試驗。
填充料在超過溫度t
c時能成為滴狀的電容器及沒有填充料的電容器做如下試驗:
在電容器去油污后,裝置在密封的容器里,容器充入液體,液面超過試樣至少10mm。
液體可以是在20℃下不含氣體的水。將液體放在室溫下,容器關閉后進行抽氣,在1min內使氣壓達到16 000Pa,并使該狀態至少保持1min。通過容器的窗口觀察試驗樣品,電容器外殼的泄漏點通過上升的氣泡顯示。
應注意某些電容器設計時在電容器密封的外部存有空隙。測試開始時從外部空隙冒出來的上升氣泡不應計算在內。
如果必要的話,則延長對電容器的試驗時間。
13 高電壓試驗
電容器應能承受高電壓試驗。
通過13.1和13.2的試驗檢驗其合格性。
13.1 接線端子之間的高電壓試驗
非自愈式電容器應能在室溫下承受施加于接線端子之間的,其值為2.15U
n,歷時60s的交流試驗電壓。
自愈式電容器應能在室溫下承受施加于接線端子之間的,其值為2U
n,歷時60s的交流試驗電壓。
自愈式電容器在試驗過程中允許有自愈擊穿。
最初施加的電壓不得超過試驗電壓的一半,然后將電壓逐步提高至規定值。
13.2接線端子與外殼之間的高電壓試驗
每只電容器應能承受50Hz或60Hz,歷時1min的交流試驗電壓,其值如下:
電容器額定電壓 試驗電壓
≤250V 2000V(有效值)
>250V 2500V(有效值)
最初施加的電壓不得超過試驗電壓的一半,然后將電壓逐步提高至規定值。
對于外殼用絕緣材料制作的電容器,試驗電壓應施加在接線端子與同外殼表面緊密接觸的金屬箔之間,金屬箔與接線端子間的間隙不得小于4mm。
14 耐異常工作條件的性能
電容器要有足夠的耐異常工作條件的性能。
通過14.1和14.2檢驗其合格性。
電容器要求在施加電壓情況下做潮濕試驗,隨后進行電流(放電)試驗。這個試驗為了證明電容器在潮濕條件下和施加由于非正弦波引起電流沖擊的惡劣電壓條件下,其工作的可靠性。
如果電容器的設計內部有一個熔斷器,則在做14.1和14.2的試驗時熔斷器可能會短路。制造商應清楚地注明為此配有備件。熔斷器設計直接與電容器繞組連接的電容器,不用因為此項測試而修改、變更。
10只電容器按14.1進行試驗,隨后按14.2進行試驗。
14.1 施加電壓的潮濕試驗
測量10只電容器的電容量和在1kHz頻率下的損耗角正切值。
在這個試驗中,導線或接線端子的長度不應超過30mm。
本試驗所用的試驗箱溫度應能保持在40℃±2℃,在電容器放置的區域內相對溫度在90%~95%之間,箱內的空氣應流通,箱內的設計應使霧珠或水滴不致落在電容器上。
試驗樣品放置在潮濕箱內并接上交流電源,在潮濕條件達到之后對所有樣品施加電壓為U
n。
電壓和濕度應保持240h。
試驗結束后,取出電容器放在室溫下保持1~2h,然后檢驗其是否符合以下條件:
——電容量變化應小于1%;
——在1kHz頻率下測量損耗角正切值變化應小于50%;
——不允許有不合格品。
14.2 電流(放電)試驗
10只同樣的電容器完成14.1的試驗后,在室溫下單獨地進行放電試驗。試驗歷時15min,每種電容器根據下列條件選擇不同的放電線路。
——峰值電流
≤10µF ——30A/µF(30V/µs)±10%
>10µF,≤25µF ——25A/µF(25V/µs)±10%
>25µF ——20A/µF(20V/µs)±10%
——電流有效值應為1.5A/µF或16A,取其中較小值;
——峰-峰電壓600V±10%。
注:典型線路正在考慮之中。
14.1試驗后樣品是否合格用最后的測量來檢驗,它也作為14.2試驗的預測量。
樣品應符合以下要求:
——電容量變化應小于1%;
——在1kHz頻率下測量損耗角正切值變化應小于50%;
——不允許有不合格品。
另外,所有電容器應該通過13.2要求的接線端子與外殼之間的高電壓試驗。
15 耐熱、耐火和耐電痕
15.1 固定接線端子用的外部絕緣材料零部件,應具有充分的耐熱性能。
除陶瓷以外材料制作的零部件,其合格性的檢驗辦法按GB 7000.1-1996第13章的規定進行球壓試驗。
15.2 固定接線端子用的外部絕緣材料零部件以及用于提供防電擊保護的其他絕緣材料零部件,應具有耐火焰和阻燃性能。
對于除陶瓷以外材料制作的零部件,其合格性的檢驗辦法按15.2.1或15.2.2規定的相應試驗進行。
15.2.1用于提供防電擊保護的外部絕緣材料零部件,應按GB/T 5169.12進行灼熱絲試驗,試驗條件如下:
——試樣數量為一件;
——試樣應為一完整的部件;
——灼熱絲尖端溫度為650℃;
——試樣的任何燃燒部分在撤走灼熱絲后30s內均應熄滅;而且跌落的火焰不得使平鋪于試樣下方200mm±5mm的GB/T 4687-1984中6.81規定的五層薄紙燃燒。
制造商應說明試驗是在一只完整的電容器上進行,還是在制造商特別為該項試驗提供的構成外殼的各個部件上進行。
15.2.2 固定接線端子用的外部絕緣材料零部件,應按GB/T 5169.5進行針焰試驗,試驗條件如下:
——試樣數量為一件;
——試樣應為一完整的部件。試驗時如有必要拆除電容器的部分零部件,則必須注意確保試驗條件與正常使用條件無明顯區別;
——試驗火焰應施加于待試表面的中心位置;
——試加火焰的時間為10s;
——在試驗火焰移開后,任何自持性火焰都必須在30s內熄滅;而且跌落的火焰不得使平鋪于試樣下方200mm±5mm的GB/T 4687-1984中6.81規定的五層薄紙燃燒。
15.3 耐電痕試驗
用于非普通型燈具內的電容器,其用以固定帶電部件或與帶電部件相接觸的外部絕緣件,應采用耐電痕材料制作。
注:試驗中不符合本項要求的電容器,只允許用于普通型燈具內。
檢驗其合格性的方法,按GB 7000.1-1996第13章相關部分所規定的耐電痕試驗進行。
16 自愈性試驗

采用以下試驗檢驗其合格性。
預處理
制造商應規定電容器是否根據17.1.1中耐久性試驗進行預處理。
將電容器置于數值為1.25U
n的交流電壓下,使電壓以每分鐘不超過200V的速度升高,直至從試驗開始發生五次自愈性擊穿或者電壓已達到3.5 U
n時為止(制造商可以規定更高的電壓)。
然后將電壓降低至發生第五次自愈性擊穿時電壓的0.8倍或者2.15 U
n的0.8倍,取較低值并保持10s。
在此期間,允許每只電容器可再發生一次自愈性擊穿。
從10只被試驗的電容器中,得到的自愈性擊穿總數應為25次或25次以上。但是,任何發生五次以上自愈性擊穿的電容器在計算總數時只按五次計數。
自愈性擊穿總數不足時,在與制造商協商后可提高最大電壓,并將同批電容器復試一次。
復試中發生的自愈性擊穿應加到以前的總數內,但每只電容器最多只能算五次。
如發生的自愈性擊穿總數達不到25次,該類型判為不合格。
如果在測試前后電容量變化不大于0.5%,則電容器被認作已通過該試驗。
對經過自愈性試驗的電容器,不再作別的試驗。
注:試驗期間發生的自愈性擊穿,可用示波器探測,也可用聲頻或高頻探測(見圖3)。
17 破壞試驗
電容器應具有足夠的耐破壞性能。
自愈式電容器可按17.1或17.2中的試驗程序進行試驗。試驗程度一覽表見圖4。對于并聯照明電容器,制造商需注明按照哪種試驗方法,試驗A或試驗B。非自愈式電容器應按照17.3進行試驗。
17.1 試驗A
本試驗程序適用于并聯照明電容器,此類電容器應屬于不需依靠壓力斷路裝置動作的電容器,如A類電容器。
17.1.1 耐久性試驗
21只樣品按照GB/T 18504-2001第8章的要求進行試驗,電壓及時間從表2中選取。

試驗溫度=t
c 注:這個耐久性試驗可以由制造商在檢驗機構的監督下完成。
按照GB.T 18504-2001中8.6的要求檢查其合格性。
17.1.2已完成17.1.1的試驗并用GB/T 4687-1984中6.81規定的薄紙包裹緊密的20只樣品,需進行以下附加試驗。
電壓和時間應由制造商從表3中選擇。
試驗電壓由檢驗機構和制造商協商而定。
表3

試驗溫度=t
c 在所有20只電容器總電流沒有降低至初始值的50%的情況下,制造商可以規定較長試驗時間來繼續破壞電容量。試驗時間不應超過2500h。
如果在規定的時間結束時,未獲得電流降低,則應檢查有多少電容器成為開路(失效的)。所剩的電容器一次一只按以下順序進行試驗:一只在室溫下進行,下一只在(t
c+10)℃溫度下進行,如此類推。試驗一直進行到獲得10只失效的電容器為止。
按照17.1.4要求檢查其合格性。允許a),b)和d)項中有一只不合格,不允許c)項出現不合格品。
17.1.2.1 試驗的準備
用GB/T 4687-1984中6.81規定的薄紙將電容器包裹緊密,置于烘箱內或在室溫下的試驗箱內。
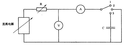
電容器逐個地、連續地連接于圖2所顯示的一個直流試驗線路中,該直流電源可以提供50mA的電流和10U
n直流電壓。
還應配備17.2.2中提到的大功率交流電源和時間滯后型熔斷器,并按圖1所示連接。
試驗程序如下:
a)按照圖2所示電路,將開關位置置于“1”,調節直流電源電壓表讀數為10U
n;
b)按照圖2所示電路,將開關位置置于“2”,調節可變電阻R,使電流表讀數為50mA;
c)按照圖2所示電路,將開關位置置于“3”,不久讀數將處于一個穩定的位置,然后將直流電源的電壓降壓零;
d)在電容器處于相同的溫度下,盡快給電容器施加其值為1.3 U
n的交流電壓,歷時5min。所用電路見圖1。若熔斷器燒毀即說明短路,如電流值低于電流表預計讀數的10%,則說明開路。
17.1.2.2 識別電容器已失效的條件
在17.1.2.1d)試驗過程中,檢查電容器是否達到以下要求。如果達到要求,則將電容器冷卻至室溫,再進行測試看是否達到17.1.2.3的要求。
如果不滿足以下要求,則重復17.1.2.1的所有程序。
如果通過任一電容器的電流低于根據其額定電容量和所施加的試驗電壓預計的數值的10%,必然是由于以下原因之一造成的:
a) 電容器短路且熔斷器燒毀;
b)電容器開路或已喪失絕大部分電容量;
c)由于電容器電氣性能發生變化,電容器未短路而熔斷器已燒毀。
更換兩次熔斷器(每只都必須動作)后,可以確定電容器是否處于穩定狀態,并達到上述a)或c)所述的狀態。圖1的電流表顯示的電流極低甚至沒有,就說明出現條件b)。然后將已失效的電容器從烘箱中取出冷卻至室溫,并測試看是否達到17.1.4的要求。
17.1.2.3 失效電容器的判定條件
凡是已失效的電容器都應達到17.1.4的要求。
17.1.3 大電流(有效值)試驗
A類電容器應滿足下列試驗要求。
用10只樣品做試驗。
在室溫下對電容器元件(已完成的繞組)進行試驗。
制造商準備的樣品被固定在具有一定截面積的導線上,導線能承受大電流(有效值)。
在進行大電流(有效值)試驗前,準備好的樣品先應進行第16章試驗。然后用GB/T 4687-1984中6.81規定的薄紙將樣品包裹緊密。
樣品在下列條件下進行試驗:
f=電流波動頻率=10kHz±10%
I
c=峰值電流=15A/µF±10%
I=有效值電流=3A/µF±10%
I≤48A。
持續試驗時間=15min
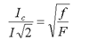
周期重復頻率F可從以下等式中算出:

試驗后樣品應符合17.1.4c)的要求。
注:試驗線路正在考慮中。
17.1.4 合格條件
每只電容器應滿足以下要求:
a)滲出的液體材料可以潤濕電容器的外殼表面,但不得成滴下落;
b)試驗指(見GB 4208-1993的圖1)不得觸及到內部帶電部分;
c)薄紙不應有燃燒或燒焦現象,因這將表明有火焰或火星從開口噴出;
d)電容器應經受13.2的試驗,但試驗電壓降低500V。
17.2 試驗B
本試驗適用于帶有斷路裝置的用于串聯照明電路中的自愈式電容器和自愈式并聯電容器,如B類電容器。用來證明斷路裝置功能的可靠性。
檢驗電容器在破壞試驗中的狀態變化是用來驗證該類電容器出現故障時,而不致產生有害結果,例如使相臨部件著火或機械損壞。
B類電容器的設計應考慮到在電容器受損后,會出現短路或線路中斷。
此試驗應對已通過第11章a)至c)中的初始試驗的電容器進行。另外,在試驗之前應測量電容量(見GB/T 18504-2001第6章)。
17.2.1 試驗樣品
以下試驗應對已完成GB/T 18504的耐久性試驗仍有效的20只電容器和20只尚未經過預處理的新樣品進行。
17.2.2 試驗安排
電容器應仍用薄紙包緊,并置于烘箱內。
每只電容器都串聯一根電特性符合GB 13539所提到的時間滯后型熔斷器。熔斷器規格應為20A或為電容器額定電流的10倍,以其中較大值為準。
與電容器相連接的大功率交流電源,可流過的故障電流為300A,或為試驗線路內額定值最高的熔斷器的額定電流的10倍。
電容器外殼應通過一個金屬殼與電源的一極相連接。
試驗線路見圖1。
17.2.3 試驗程序
17.2.3.1 試驗的準備
用GB/T 4687-1984中6.81規定的薄紙將電容器包裹緊密并放置于試驗箱內。
準備試驗樣品,它們應在(t
c +10)℃的溫度下加以額定電壓U
n,歷時2h,不能有開路或短路發生。然后將已通過GB/T 18504中耐久性試驗的20只電容器放入溫度為(t
c +10)℃的烘箱,接上高阻直流電壓電源(I
max<50mA),調節電壓使電壓升高直到擊穿為止。20只新電容器應在室溫下作為預處理電容器進行試驗。
注:在額定電壓(2h/ U
n/(t
c +10))下簡短試驗證明電容器是否有效。
17.2.3.2 電容器破壞性試驗
試驗的準備后,立即給電容器加上1.25U
n的電壓,此時還保持直流試驗時的溫度。
每只試樣在加載20h后,根據制造商的規定,再加上直流電壓,并提高電壓直到擊穿為止。
這里的電流應被限制在小于50mA,當直流電源斷開時,負載也將消失。
隨后,對電容器施加1.25U
n的電壓。
當1.25U
n電壓施加在電容器上,例如在直流試驗時電容器沒有被損壞,這個試驗過程可以以4h為間隔進行重復試驗直到40個試樣全部失效為止。
17.2.3.3 識別電容器已失效的條件
對于自愈式電容器,保證中斷的結構措施應已生效。
通過圖1中的電流表來檢查,電流表指示為零。當電容器失效后便從烘箱中取出,使它冷卻至室溫并進行試驗,看是否滿足17.2.3.4和17.2.3.5的要求。
17.2.3.4 合格條件
每只電容器應符合以下要求:
a) 滲出的液體材料可以濕潤電容器外表面,但不得成滴下落;
b) 電容器不得爆炸以及電容器殼體不得熔化;
c) 薄紙不應有燃燒或燒焦現象,因為這將表明有火焰或火星從開口噴出。
17.2.3.5 失效狀態的安全性試驗
每只成為失效的電容器應通過以下試驗:
a) 室溫下,在接線端子之間加上2.0U
n電壓進行高電壓試驗,歷時1min,中斷點上沒有火花產生。
如有異議,制造商應能證明中斷的結構措施已生效。
b) 電容器應能承受接線端子和外殼間的高電壓試驗(見13.2)。
注:在破壞試驗之后進行接線端子之間的高電壓試驗,以獲得電流的中斷。另外,外殼和接線端子間的高電壓試驗是檢查其安全性。
17.2.3.6 試驗評定
所有成為失效的電容器應達到17.2.3.4b)和c)的要求。
如果一個試驗樣品不滿足17.2.3.4a)和17.2.3.5a)、b)的要求,則對另外40只樣品重新進行試驗,但所有的電容器均應通過重復試驗。
如果一只以上的電容器不滿足17.2.3.4a)和17.2.3.5a)、b)的要求,則認為試驗沒有通過。
17.3 非自愈式電容器
此項試驗,是在10只已經通過第11章a)至c)項中規定的初始試驗的電容器上進行。
17.3.1 試驗的準備
將已完成17.3規定的試驗程序仍有效并用薄紙包裹緊密的10只電容器放置于烘箱內。
如圖2所示,將電容器逐個而連續地連接于一個直流可變電源,并串聯一電阻,使電流的最大值限制在3mA。
如17.1.1所述,還應配備一個大功率交流電源和時間滯后型熔斷器,連接方式見圖1。
將電容器一直加熱至(t
c+10)℃,并采用一個穩步增高的直流電源將它們各個擊穿,擊穿電流不超過3mA。
當電壓表讀數有效地降至零時便說明已發生擊穿。
試驗過程如下:

采用圖1中的線路施加數值為1.3U
n的交流電壓,歷時8h,但應使短路的電容器串聯一個扼流圈或一個電阻。所選定的扼流圈或電阻的阻抗,應使線路在施加1.3U
n電壓時,流經其間的電流被限制在電容器額定值的1.5倍(1.5U
nωC)。
b)對于所有其他類型電容器
在電容器發生擊穿后,應在它處于相同溫度時,盡快對其施加值為1.3U
n的交流電壓,歷時5min,所用線路見圖1。
17.3.2 識別電容器是否已失效的條件
所有失效的電容器在冷卻后都應達到17.1.3和17.1.4a)至d)條的要求。未失效的電容器應按17.3.1條規定的全過程重復試驗。
復試應多次進行直至全部電容器都失效。
附錄A
(標準的附錄)
試驗電壓
電壓試驗應按有關條款的規定采用交流或直流電源進行。電源應能在任何規定的試驗期間內充分保持所需的試驗電壓,其允差為±2.5%。
交流電壓試驗用50Hz或60Hz頻率進行,電壓應盡量不含諧波,以保證當其施加于電容器時,總電流不超過對應于正弦波電壓值的10%。
必要時,在進行接線端子之間的電壓試驗時,可將放電電阻斷開。
附錄B
(標準的附錄)
試驗箱的溫度調節
電容器放置于空氣溫度偏差在±2℃之內恒定的試驗箱中。
試驗箱中的空氣應不斷循環,但也不能過烈,以免引起電容器過分冷卻,試驗期間,電容器應不受到試驗箱中任何加熱元件的直接輻射。調節試驗箱內空氣溫度的恒溫器的傳感元件應放置在熱循環空氣氣流中。
注:空氣的加熱可在另一分開的試驗箱內進行,空氣通過閥門進入電容器試驗箱,從而使熱空氣良好地分布于電容器周圍。
電容器放置的位置,應最易引起浸漬劑或填充料的泄漏。圓柱形電容器之間的距離不得小于其直徑,而矩形電容器之間的距離則不得小于其底部的短邊長度的兩部。
溫度記錄儀的傳感元件應放在損耗角正切最小的電容器外殼側面的中間部位。

然后繼續試驗直到試驗結束,不再調整試驗箱的溫度,試驗時間從電容器開始施加電壓算起。
附錄C
(提示的附錄)
制造商的合格性試驗
1 樣品試驗
制造商應根據14.2試驗對電容器繞組進行定期試驗。
2 產品100%合格試驗
建議所有電容器按以下要求進行試驗:
a) 符合13.1接線端子間的高電壓試驗,但試驗時間至少2s。
b) 接線端子和外殼間的有效值為2000V或(2Un+1000)V的高電壓試驗,取其較大值,試驗時間至少2s。
注:如果電容器外殼完全用絕緣材料制作,則不需要進行此項試驗。
c) 放電電阻的阻值應符合第10章的要求。
d) 電容量和損耗角正切值是在最低頻率為1kHz時測量的,損耗角極限由制造商根據需要進行說明。
注:頻率的最小值為1kHz是為了使潛在故障更容易顯示出來,這些潛在故障會造成一定的事故。
建議制造商在裝配前,對電容器繞組進行損耗角正切值測量,這樣可以避免由于電容器線路及結構變化所引起的電阻變化和測量誤差。

圖1 交流試驗線路

圖2 直流試驗線路

圖3 自愈擊穿試驗設備

圖4 測試程序概述