前言
本標準等效采用ASTM D329—1995標準,對GB/T6026—1989進行了修訂。主要項目的設置與ASTM D329相同。由于我國丙酮產品均偏酸性;高錳酸鉀時間試驗包括了醛及國內用戶對醛沒有特殊要求;氣味是定性指標易產生爭議,所以堿度、醛、氣味項目未列入標準。根據國內丙酮生產工藝情況,保留了GB/T6026-1989標準中醇含量測試項目。
與GB/T6026-1989相比,此次修訂增加了水混溶性和純度兩個測試項目。高錳酸鉀時間試驗方法等同采用了ASTM D329規定的方法。
本標準自實施之日起,代替GB/T6026-1989。
本標準的附錄A是提示的附錄。
本標準由中華人民共和國化學工業部提出。
本標準由全國化學標準化技術委員會有機分會技術歸口。
本標準起草單位:北京燕化石油化工股份有限公司化工二廠。
本標準主要起草人:張鳳玲、時安敏、袁秀芳、吳炳印。
本標準于1985年首次發布,1989年進行修訂。
本標準委托全國化學標準化技術委員會有機分會負責解釋。
1 范圍
本標準規定了工業丙酮的要求、試驗方法、檢驗規則、標志、包裝、運輸、貯存等。
本標準適用于異丙苯法和發酵法制得的丙酮。該產品主要用作有機溶劑及有機合成的原料。
分子式:(CH
3)
2CO
相對分子質量:58.08(按1995年國際相對原子質量)
2 引用標準
下列標準所包含的條文,通過在本標準中引用而構成為本標準的條文。本標準出版時,所示版本均為有效。所有標準都會被修訂,使用本標準的各方應探討使用下列標準最新版本的可能性。
GB190—1990 危險貨物包裝標志
GB/T601—1988 化學試劑 滴定分析(容量分析)用標準溶液的制備
GB/T603—1988 化學試劑 試驗方法中所用制劑及制品的制備
GB/T1250—1989 極限數值表示方法和判定方法
GB/T3143—1982 液體化學產品顏色測定法(Hazen單位一鉑-鉆號)
GB/T4472—1984 化工產品密度、相對密度測定通則
GB/T6324.2—1986 揮發性有機液體 水浴上蒸發后干殘渣測定的通用方法(eqv ISO759:1981)
GB/T6678—1986 化工產品采樣總則
GB/T6680—1986 液體化工產品采樣通則
GB/T6682—1992 分析實驗室用水規格和試驗方法
GB/T7534—1987 工業用揮發性有機液體沸程的測定(eqv ISO918:1983)
3 要求
3.1 外觀:透明一體。
3.2 工業丙酮應符合表1要求。
4 試驗方法
本標準所用試劑和水,在沒有注明其他要求時,均使用符合現行標準的分析純試劑和GB/T6682中實驗室用三級蒸餾水或相應純度的水。
表1 要求

4.1 色度的測定
按GB/T3143進行測定。
4.2 密度的測定
按GB/T4472—1984中2.3.3進行測定。
密度計示值范圍為0.800~0.750。
試樣應在(20±5)℃下進行測定。密度-溫度校正系數為0.0011g/cm
3·℃。
4.3 沸程的測定
按GB/T7534進行測定。
4.3.1 儀器
溫度計:局浸式,溫度范圍45~65℃或50~70℃,分度值0.1℃,局浸線110mm。
4.3.2 結果計算
按GB/T7534—1987中第6章計算,K值列于表2。
表2 K值

4.4 蒸發殘渣的測定
按GB/T6324.2進行測定。
4.5 酸度的測定
4.5.1 儀器
a)堿式滴定管:2mL或1mL,分度值為0.05mL;
b)移液管:25mL;
c)錐形瓶:100mL。
4.5.2 試劑和溶液
a)蒸餾水:按GB/T603制備;
b)氫氧化鈉標準滴定溶液:c(NaOH)=0.01mol/L;
c)酚酞指示液:10g/L。
4.5.3 分析步驟
在100mL錐形瓶中,加入25mL蒸餾水及2滴酚酞指示液,加氫氧化鈉標準滴定溶液中和至淡粉紅色,再用移液管量取試樣25mL于100mL錐形瓶中,用氫氧化鈉標準滴定溶液滴定至淡粉紅色,保持15s不褪色為終點。
酸度以質量百分數X
1表示(以乙酸計),按式(1)計算:
X
1=cV×0.060/25×ρ
t×100 …………………………(1)
式中:c——氫氧化鈉標準滴定溶液的實際濃度,mol/L;
V——氫氧化鈉標準滴定溶液的用量,mL;
ρ
t——t℃時試樣的密度,g/cm
3;
25——試樣的體積,mL;
0.060——與1.00mL氫氧化鈉標準滴定溶液[c(NaOH)=1.000mol/L]相當的以克表示的乙酸質量。
4.5.4 允許差
平行測定兩次結果的差值不大于0.0002%,取算術平均值作為測定結果。
4.6 高錳酸鉀時間試驗
4.6.1 儀器
a)恒溫水浴:溫度可控制在(25±0.5)℃,試驗時能避免光對試樣的照射;
b)移液管:2mL;
c)無色透明具塞比色管:50mL;
d)定時器:能測量120min或較多間歇時間,備有鬧鈴。
4.6.2 試劑和溶液
a)高錳酸鉀溶液:0.200g/L。稱取0.200g高錳酸鉀,用新鮮煮沸的水溶解后,置于1L容量瓶中,稀釋至刻度,搖勻。此溶液必須儲存在棕色瓶中,有效期為一周;
b)氯化鈷-鉑-鈷標準比色液:稱取175mg氯化鈷(CoCl
2·6H
2O),加入21.4mL500號鉑-鈷比色液,轉移至50mL容量瓶中,用蒸餾水稀釋至刻度,搖勻,轉移到與試驗相同的50mL比色管中,此標準比色液有效期為三個月;
c)500號鉑-鈷比色液按GB/T3143制備。
4.6.3 分析步驟
將待測試樣注入50mL具塞比色管中至超過刻度,放置在恒溫水浴中[溫度控制在(25±0.5)℃],當試樣溫度達到(25±0.5)℃時,使比色管中液面位于50mL刻度。用移液管加入2mL高錳酸鉀溶液,搖勻,放入恒溫水浴中,記錄時間。待給定的最少時間到達后,從恒溫水浴中取出比色管,對著光線,在白色襯底下,用手提起比色管,縱向觀察,與標準比色液相比較。若試樣顏色深于標準比色液,則還原高錳酸鉀時間為“大于Xmin”;若試樣顏色與標準比色液相同,則還原高錳酸鉀時間為“Xmin”;若試樣顏色淺于標準比色液,則還原高錳酸鉀時間為“小于Xmin”X是按3.2給出的被測試樣的最少時間。
4.7 水混溶性試驗
4.7.1 儀器
a)具塞量筒:250mL;
b)移液管:25mL。
4.7.2 試劑
蒸餾水:按GB/T603制備。
4.7.3 分析步驟
用移液管吸取25mL試樣與250mL量筒中,用蒸餾水稀釋到刻度,搖勻。在另一250mL量筒中加入250mL蒸餾水做標準,在環境條件下放置30min后,通過液柱對著黑色背景進行觀察,比較試樣溶液與蒸餾水的清濁程度。如用人工光源,使光線處于橫向通過量筒的位置。若試樣與蒸餾水濁度相同,則為合格;若試樣濁度大于蒸餾水濁度,則為不合格。
4.8 丙酮中水、醇含量的測定(醇含量為甲醇加乙醇)
色譜參考操作條件見附錄C(提示的附錄)
4.8.1 儀器
熱導氣相色譜儀。
4.8.1.1 色譜儀性能
a)儀器靈敏度:以氫氣作載氣,對甲醇的靈敏度應優于500mV·mL/mg。
b)儀器穩定性:在操作條件不變的情況下,儀器連續運轉8h,色譜峰的保留值的變化差值不得大于±5%。
4.8.2 分析步驟
按儀器操作規程開啟儀器,嚴格控制操作條件,待儀器穩定后方可測定。用10μL注射器進樣,進樣前必須用待測試樣將注射器清洗5次以上,快速進樣。測定結果以兩次進樣平均值為準。
4.8.3 計算
按校正面積歸一法進行計算。
丙酮中水、甲醇、乙醇含量以質量百分數X
i表示,按式(2)計算:

………………………………(2)
式中:X
i——i組分的百分含量;
A
i——i組分的峰面積;
f
i——i組分的質量校正因子值。
4.8.4 質量校正因子的測定
4.8.4.1 用重量添加法配制接近實際樣品濃度的一系列已知含量的水、甲醇、乙醇和丙酮的混合樣品,按實際測試試樣條件進行測定。
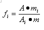
4.8.4.2 質量校正因子用f
i表示,按式(3)計算,兩樣酮校正因子為1。

………………………………(3)
式中:f
i——i組分的質量校正因子;
A——丙酮峰面積;
A
i——i組分的峰面積;
m——丙酮的質量百分數;
m
i——i組分的質量百分數。
4.8.5 允許差
平行測定兩次結果的差值不大于0.03%,取算術平均值作為測定結果。
4.9 純度
丙酮的純度以質量百分數X
2表示,按式(4)計算:
X
2=100%-(水%-酸%+醇%)
1] ……………………(4)
酸%、水%、醇%由4.5和4.8條中獲得。
5 檢驗規則
5.1 工業丙酮應由生產廠的質量檢驗部門進行檢驗,生產廠應保證所有出廠的工業丙酮都符合本標準的要求。每一批出廠的工業丙酮都應附有一定格式的質量證明書。內容包括:生產廠名稱、廠址、產品名稱、等級、批號、檢驗日期、產品凈重、本標準編號。
5.2 組批:可按生產周期、生產班次或產品貯罐進行組批。
5.3 使用單位有權按照本標準規定的檢驗規則和試驗方法對所收到的工業丙酮的質量進行驗收,驗收其指標是否符合本標準的要求。
5.4 取樣方法:按GB/T6680中第2章“常溫下為流動態的液體”的相應規定進行。桶裝時,取樣桶數應根據GB/T6678中的規定取樣,所取試樣總量不得少于1L。
5.5 將選取的試樣充分混勻后,等量分別裝入二個清潔、干燥帶磨口塞的玻璃瓶中,貼上標簽,注明:生產廠名稱、產品名稱、批號和取樣日期,一瓶作檢驗分析,一瓶保存二個月以備查驗。
5.6 如果檢驗結果有一項指標不符合本標準要求時,應重新選取兩倍數量的包裝取樣,進行檢驗,重新檢驗結果即使有一項指標不符合本標準要求時,則整批產品為不合格。
5.7 當供需雙方對產品質量發生爭議需要解決時,用戶應在產品到貨之日起一個月內提出仲裁,仲裁單位可由雙方協議選定,按照本標準的規定進行檢驗。
5.8 檢驗結果的判定按GB/T1250修約值比較法進行。
5.9 蒸發殘渣、密度、水混溶性項目為型式檢驗項目,每兩周檢驗一次。
6 標志、包裝、運輸、貯存
6.1 包裝容器上應有牢固的標志,其內容包括:注冊商標、生產廠名稱、產品名稱、等級、批號、凈重及按GB190規定的易燃物品標志。
6.2 工業丙酮應用干燥、清潔的鍍鋅桶或槽車包裝。桶裝凈重160kg。
6.3 裝卸及運輸時,均應防止猛烈撞擊,避免日曬、雨淋。
6.4 工業丙酮應貯存在干燥、通風、溫度保持在35℃以下的防火、防爆的倉庫內。
7 安全
丙酮是高度易燃、易揮發產品,使用時要注意遠離火源。
附錄A
(提示的附錄)
丙酮中水、醇含量的色譜測定參考操作條件
A1 色譜參考操作條件(見表A1)
表A1 色譜參考操作條件

A2 各色譜柱的典型譜圖(如圖A1,實樣色譜圖如圖A2)

1—空氣;2—水;3—甲醇;4—乙醇;5—丙酮
圖A1 典型色譜圖

1—空氣;2—水;3—甲醇;4—丙酮
圖A2 實樣色譜圖
——————————