IEC前言
1)IEC有關技術問題上的正式決議或協議,由特別關心這些問題的國家委員會組成的技術委員會制定,對所涉及的問題盡可能表達國際上的一致意見。
2)這些決議或協議以標準的形式供國際上使用,并在此意義上為各個國家委員會所接受。
3)為了促進國際上的統一,IEC希望:所有國家委員會在其國內情況允許的條件下,在各自的國家規程中采用IEC標準。IEC標準與相應的國家規程之間,如有不一致處,盡可能在國家規程中明確指出。
IEC序言
本標準由IEC第64(建筑物電氣裝置)技術委員會制定。
本標準的草案經過1974年布加勒斯特和1976年多倫多會議討論,按后一會議的結果,將草案即64(中央辦公室)49文件,于1976年8月按照“六個月法”提交各國家委員會表決。
以下國家的國家委員會投票贊成出版:
澳大利亞 荷蘭
加拿大 波蘭
丹麥 葡萄牙
埃及 羅馬尼亞
法國 南非(共和國)
德國 西班牙
匈牙利 瑞士
以色利 土耳其
意大利 英國
日本 美國
本標準引用的其他IEC出版物有1]2]
60269-1低壓熔斷器 第1部分:基本要求
采用說明:
1] 在本標準中還引用了以下IEC標準:
60364-4-47:1981建筑物電氣裝置 第4部分:安全防護 第47章:安全防護措施的應用
60364-4-473:1977建筑物電氣裝置 第4部分:安全防護 第47章:安全防護措施的應用 第473節:過電流保護措施
60364-5-523:1983建筑電氣裝置 第5部分:電氣設備的選擇和安裝 第52章:布線系統 第523節,載流量
60947-4-1:1990低壓開關設備的和控制設備 第4部分;接觸器和電動機起動器 第1章:機電式接觸器和電動機起動器
2] 在本標準中引用的IEC標準與采用這些標準的中國標準的對應關系見附錄A。
60269-2低壓熔斷器 第2部分:專職人員使用的熔斷器(主要用于工業的熔斷器)的補充要求
60269-3低壓熔斷器 第3部分:由非熟練人員使用的熔斷器(主要用于家用和類似用途的熔斷器)的補充要求
60724:1984額定電壓不大于0.6/1.0kV的電纜的短路電流溫度限制的導則
60898:1995電器附件 家用和類似用途的過電流保護斷路器
60947-2:1995低壓開關設備和控制設備 第2部分:斷路器
61009家用和類似用途帶過電流保護的剩余電流動作斷路器(RCBO′S)
IEC第1號修改文件序言
本修改由IEC第64技術委員會(建筑物電氣裝置)提出。
本標準的文本以下述文件為基礎:

431總則
帶電導體應由一個或多個電器保護,在發生過負荷(見433)和短路(見434)時自動切斷供電,但是對按照436的規定過電流已受限制者除外。此外,過負荷保護和短路保護應按照435的規定互相配合。
注
1當故障可能引起過電流的數值與過負荷的數值差不多時,符合433規定的帶電導體的過負荷保護,也可以作為這類故障的保護。
2應用條件見IEC60364-4-473:1997。
3本章所規定的導體的保護,不必須保護與該導體連接的設備。
432 保護電器的種類
保護電器應具有432.1~432.3指出的相應型式。
432.1兼有防止過負荷電流和短路電流的保護電器
保護電器應能分斷包括其安裝處最大預期短路電流在內的任何過電流。它應滿足433及434.3.1的要求。這些保護電器可以是:
——裝有過負荷脫扣器的斷路器*;
——與熔斷器組合的斷路器;
——具有gG特性熔斷體的熔斷器**。
注
1熔斷器包括構成整個保護電器的所有部件。
2采用分斷能力小于電器安裝處的預期短路電流的保護電器的前提是滿足434.3.1的要求
432.2只防止過負荷電流的保護電器
此類保護電器通常是反時限的,其分斷能力可以小于電器安裝處的預期短路電流值。它應滿足433的要求。
*GB10963-1999、GB14048.2-1994和GB16917-1997。
**IEC60269-1、IEC60269-2和GB13539.3-1999。
432.3只防止短路電流的保護電器
在已用其他方式實現過負荷保護的地方,或按照473的規定允許不裝設過負荷保護的地方,可以裝設此類保護電器。此類保護電器應能分斷包括預期短路電流在內的最大短路電流。它應滿足434的要求。
此類保護電器可以是:
——裝有短路電流脫扣器斷路器*;
——熔斷器**。
*GB10963-1999、GB14048.2-1994和GB16917-1997。
**IEC60269-1、IEC60269-2和GB13539.3-1999。
432.4并聯導體的保護
并聯導體的防止過負荷電流和短路電流的保護方法見IEC60364-4-47:1981。
433過負荷保護
433.1一般要求
保護電器應在流經回路導體的過負荷電流引起的溫升對絕緣、接頭、端子和導體周圍的物料造成損害之前,分斷過負荷電流。
433.2導體與保護電器的配合
防止電纜過負荷的保護電器的工作特性應滿足以下兩個條件;
1) IB≤In≤Iz;
2) I2≤1.45 Iz
式中:IB——回路的計算電流;
Iz——電纜持續載流量(見IEC60364-5-523:1983);
In——保護電器的額定電流;
注1:對于可調的保護電器,額定電流In是給定的整定電流。
I2——保證保護電器在約定時間內可靠動作的電流。
保證保護電器可靠動作的電流由產品標準給出亦可以由制造廠給出。
注2:按照本條的保護不能保證某些情況下的安全保護,例如對于小于I2的持續過電流的保護,也未必能達到一種經濟的解決辦法。因此,它是假定回路是按照不會經常發生持續時間長的輕微過負荷來設計的。
434 短路保護
434.1一般要求
保護電器應在短路電流在導體及連接處產生的熱效應和機械力造成危險之前分斷短路電流。
434.2預期短路電流的確定
應確定建筑物電氣裝置每個有關點上的預期短路電流??赡芡ㄟ^計算或通過測量來確定它。
434.3短路保護電器的特性
每個短路保護電器都應滿足以下兩個條件;
434.3.1分斷能力不應小于保護電器安裝處的預期短路電流,但用于下列情況者除外:
如果在供電側已裝有具有所需的分斷能力和其他保護電器,則本保護電器的分斷能力小于預期短路電流是允許的。此時,這兩個保護電器的特性必須配合,使通過這兩個電器的能量不超過負荷側的保護電器以及受該兩電器保護的導體能夠毫無損傷地承受的能量。
注:在某種情況下還需要考慮其他特性,例如對于負荷側的保護電器,便需考慮電動應力和電弧能量,需要進行配合的特性的具體要求應從該電器的制造廠取得。
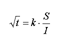
434.3.2在回路任一點上由短路引起的所有電流,應在不超過電流使導體達到允許的極限溫度的時間內分斷。
對于持續時間不超過5s的短路,由已知的短路電流使導體從正常運行時的最高允許溫度上升到極限溫度的時間t可近似地用下式計算:


附錄A
?。ㄌ崾镜母戒洠?BR> IEC60364-4-3中引用標準一采用這些標準的中國標準的對應關系
本標準等同采用IEC60364-4-43:1977《建筑物電氣裝置 第4部分:安全防護 第43章;過電流保護》及其第1次修改(1997)。由于該標準中引用的標準未被完全等同采用為中國標準,為了有利于本標準的使用,表A1特別列出該標準中引用標準與采用這些標準的中國標準的對應關系。
表A1

公路服務設施設計規范
公路工程建設項目安全生產費用清單及…
石英玻璃術語
鋁酸鹽水泥
建筑外表面用自清潔涂料
混凝土接縫防水用預埋注漿管
透明石英玻璃氣泡、氣線試驗方法
城鎮土地分等定級規程
室內空氣質量標準【作廢】
施工現場臨時用電安全技術規范【作廢】
固定式鋼直梯安全技術條件【作廢】
建筑基坑支護技術規程【作廢】
建筑機械使用安全技術規程【作廢】
水泥廠衛生防護距離標準
建設工程施工現場供用電安全規范【作…
北京市建筑工程施工安全操作規程