3.1 蕾內壁粗糙度的確定
管內壁粗糙度的計算一般采用有效粗糙度。有效粗糙度反映了管壁粗糙度和由諸如彎頭、環狀焊縫、接頭及攜帶的特殊物質拖曳阻力所引起的當量粗糙度的復合影響。有效粗糙度的確定方法如下:
Ke=K5+Ki+Kd (8-6)
式中,Ke—有效粗糙度;
Ks—管壁表面粗糙度;
Ki—界面粗糙度(攜帶物質);
Kd—彎頭;焊縫及接頭等引起的粗糙度。
在對方案進行技術經濟指標計算時,可根據管子的實際情況直接從有關數據表中選擇合適的數值。
3.2 壓縮機站功率的確定
在干線輸氣管道設計時,通過工藝計算得出壓縮機站的軸功率,在實際運營中,考慮到壓縮機的功率要有一定的儲備量,其安裝功率等于軸功率乘以各影響系數。公式如下:
Pw=Pcβ (8-7)
式中 β—各個因素綜合影響系數,β=1.382;
其中包括:(1)溫度影響系數(1.05);
(2)海拔影響系數(1.10);
(3)進排氣損失系數(1.02);
(4)儲備系數(1.15);
(5)傳動損失系數(1.02)。
3.3 干線輸氣管道增量投資的確定
設流量Q和管道輸送總距離L一定,可得出加內覆蓋層前后粗糙度Ke與壓縮站間距L的關系式:

?
式中:L
0—未采用內覆蓋層管道干線壓縮站間距,km;
L
1—采用內覆蓋層管道干線壓縮站間距,km;
Ke
0—未采用內覆蓋層管道內壁有效粗糙度;
Ke
1—采用內覆蓋層管道內壁有效粗糙度。
從式(8-9)可看出,由于Ke
1>Ka
2,采用內覆蓋層后的壓縮站間距L1是未采用內覆蓋層壓縮站間距L
0的(Ke/Ke
1)
0.2倍。因此,可以相應減少壓縮機站數而能確保與未采用內覆蓋層輸氣管道相同的輸量。
在管道內涂和未內涂兩種情況下,主要的費用差別在于內覆蓋層的費用,該費用通常占管道總建設費用的1%~2%。干線輸氣管道采用內覆蓋層前后,其項目總投資中通信工程、自動化控制、調度中心工程、基地工程費用沒有直接影響。因此,這幾項費用相對不變,而與管道線路投資直接費用有關。采用內覆蓋層前后投資的差額(即:增量投資)是進行經濟比較評判的主要因素。
增量投資費用是指采用內覆蓋層后比采用前的管道線路工程投資多出部分(即:管內壁除銹費用、內覆蓋層材料費、噴涂施工費用之和)。用下式表示:
△I=I1-I0 (8-10)
式中 △l—增量投資,萬元;
I
0—采用內覆蓋層前管道線路工程的投資,萬元;
I
1—采用內覆蓋層后管道線路工程的投資,萬元。
3.4 運營成本費用的確定
在內涂及未內涂兩種方案運行費用之間主要區別反映在管道設計壽命期間的燃料消耗上。需對管道預期壽命預測燃料價格來量化燃料費。
干線輸氣管道采用內覆蓋層后,構成運營成本的諸多因素中可變因素較多,且很復雜,在進行采用與不采用內覆蓋層的兩方案比較時,僅考慮燃料費用、人工工資及附加費、清管費用、管理費用,其他可變費用忽略不計。
C=Cr+Crg+Cq+Cg (8-11)
式中 C—運營成本費用;
C—每年的燃料費用;
C
rg—每年的人工工資及時加費用;
C
q—每年的清管費用;
C
g—每年的管理費用。
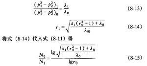
采用內覆蓋層后燃料贊用隨裝機功率的改變而發生變化,由于壓縮機所做的功與其壓縮率的對數(1gr)值成正比,故可寫出下列關系式:

?
?
式中 r
0—無內覆蓋層的管道某管段起點與終點壓力絕對值的比值;
r
1—有內覆蓋層的管道對應長度管段起點與終點壓力絕對值的比值;
N
0—無內覆蓋層的管道動力消耗;
N
1—有內覆蓋層的管道動力消耗。
根據干線輸氣管道計算的基本公式可得:
整理得:

?
?
同樣,在k0取45μm,k1取10μm,r0取1.4時,則有表8-2的關系:
表8-2 管道加內覆蓋層后輸氣動力降低率
| D/mm | 300 | 400 | 500 | 600 | 700 | 800 | 900 | 1000 |
| (N1-N0)/N0/% | 27.42 | 24.06 | 21.37 | 19.12 | 17.18 | 15.48 | 13.95 | 12.56 |
?
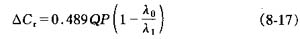
燃料費用的確定:

?
?
式中 △Cr—兩方案對比每年節約的燃料費用;
Q—年輸量;
P—設計壓力;
λ
0—未采用內覆蓋層干線輸氣管道的磨阻系數;
λ
1—采用內覆蓋層干線輸氣管道的磨阻系數。
上述介紹的四種因素是影響干線管道采用與不采用減阻內涂技術的主要因素。在進行經濟計算時,還要涉及到其他經濟參數(詳見表8-3)。
表8-3 其他經濟參數
| 參數 | 說明 |
設施總費用
建設期間資金補息
返還率
折舊
凈資產
所得稅
應納稅的收入
利息費用
資本折扣
操作費及維護費
年運營費用 | 資歷本費用+建設期間資金折扣-運轉資金
返還率×(月數+12)×建設費用
貸款×貸款利息+凈資產×凈資產利息
(原始資本-剩余費本)/設計壽命
設施總費用-累積折歸額
[稅率/(1-稅率)]×應交稅的收入
返還+折舊-利息費用-資本折現(CCA)
貸款率×基本費用×貸款利息
設施總費用-累積折舊-建設期間資金折扣
管理+實際操作費
折舊+操作及維護費+稅費+返還 |
3.5 采用內覆蓋層管道運行費用的判定
在管道設計時需要進行經濟決策,它要求對管道設計壽命期間采用內覆蓋層的費用和效益作出詳細的評估。
BenAsabten,P.Ene.所著的《天然氣管道采用內覆蓋層合理性的判定》給出了一個程序,它可以充分地對采用內覆蓋層的費用及效益作出評估。
判定方法是:
當C
2≤1.02C1時,內覆蓋層方案就是經濟的;
當C
2>1.02C1時,內覆蓋層方案是不經濟的。
其中C
1是不加內覆蓋層的運營費;C2是采用內覆蓋層的運營費。
風險分析和模糊評定技術也應該用來對一些無形的效益(例如:管子存放期的防腐蝕、對目視檢查的增進、對天然氣氣質的保證等等)進行量化,并且與費用分析綜合考慮。如果無形的效益不足以量化,應考慮附加2%的補償因子;就是說:假如內覆蓋層管道的運行費用是未內覆蓋方案運行費用的1.02倍或更低,那么仍應推薦采用內覆蓋層方案。
3.6 內涂覆管道經濟性分析判定的程序
為了對干線輸氣管道采用與不采用內覆盞層盡快做出較為準確地判斷,加拿大NOVA公司編制了對采用內覆蓋層費用和效益分新的評估程序。該程序包括在預選管道的設計壽命期間對于燃料節約及內覆蓋層花費之間的運營費用對比。將給定的管道有效粗糙度運用于水力學模型,可分別確定內涂和末內涂管道各自的燃料需要。將該數據連同其它相關的費用及操作費用輸入到運營費用模型中,可以確定各種工況下累積的運營費用現值。具體評估巍程見圖8-10
圖8-1 對內覆蓋層的評估
(1)確定運行流態 確定部分紊流和完全紊流流態轉變的臨界雷諾數,將其與根據流態和管路特性計算出的實際雷諾數相比較。假定預選管道的流量在其設計壽命期間內是變化的,判斷通過管子的最大平均日翰量是否處在完全紊流的流態下。假如預期的最大流量不處在完全紊流狀態,那么,提高管道的管輸效率不能用內覆蓋層技術來實現。假如流態處于完全紊流區,應繼續進行評估。
(2)進行水力學分析以確定燃料消耗 將管道設計壽命期間預期的運行條件(壓力、溫度、平均流量等)用于水力學模型以確定管道內涂覆前后各自的燃料消耗。相關的上、下游壓縮機站將被用于該模型分析中。壓力、流量與沮度方程、壓縮機方程可將流量,粗糙度和燃料消耗關聯起來。
(3)確定投資及運行費用 在管道采用內涂和未內涂兩種情況下,主要的費用差別在于內覆蓋層的費用。該費用通常占管道總建設費用的1%~2%。與此類似,在內涂及未內涂兩種方案運行費用之間主要區別反映在管道設計壽命期間的燃料消耗上,需對管道預期壽命預測燃料價格來量化燃料費。
(4)確定運行費用 投資和運行費用以及運行費用參數用于運行費用分析模型,可對加或不加內覆蓋層兩種方案進行費用對比。
可用費用現值(CPVCOS)法行方案對比。
(5)經濟評判 假如采用內覆蓋層情況下的運營費用低于不加內覆蓋層的費用,那么內覆蓋層方案就是經濟的。假如采用內覆蓋層情況下的運行費用高于不加內覆蓋層的費用的1.02倍以下,仍可考慮使用內覆蓋層(基于對內覆蓋層無形效益的考慮)。否則,內覆蓋層方案就是不合算的了。
另外,假如前面部分提及的內覆蓋層無形效益能得到近似量化,那么它們應該在運行費用和資金投入的確定中有所反映。例如,在管道加內覆蓋層后與未加內覆蓋層的管道清管費用比較上有充足的資料可利用,那么這些費用就可以在姆作費用評估和運營費用分析中加以考慮。