燃氣管網安全影響因素相互耦合分析
作者:王清樹 譚羽非 齊華云
評論: ?
收藏本頁
???③ 確定二級評價指標權重
???二級評價指標權重由相關專家進行評估,對兩個二級評價指標之間的相對重要性進行比較,采用層次分析法計算,求得各二級評價指標的權重值,其值的大小即為該指標被接受的優先級。該工作共分為2個步驟:
???第1步,建立成對比較矩陣。對二級評價指標以一級評價指標為準則進行成對比較,采用Satty 1~9標度法(見表1)對各要素進行賦值[7]。
表1 Satty 1~9標度法
?
標度 | 含義 |
1 | 兩者重要性相同 |
3 | 一個因素比另一個因素稍重要 |
5 | 一個因素比另一個因素較重要 |
7 | 一個因素比另一個因素很重要 |
9 | 一個因素比另一個因素極端重要 |
2、4、6、8 | 介于相鄰重要程度之間 |
成對比較矩陣Ai為正倒值矩陣,矩陣中各要素不僅為正數,且具有倒數特征。成對比較矩陣如下:
?

式中Ai——一級評價指標E的成對比較矩陣
??? ai,j——第i個與第j個二級評價指標Satty 1~9標度值
??? wi——第i個二級評價指標準則權重
??? wj——第j個二級評價指標準則權重
第2步,計算準則權重向量并進行權重一致性檢驗。在計算矩陣Ai的一致性時,以矩陣Ai的最大特征值來取代,則求解準則權重向量公式如下:
(Ai-λmax,i)Wi=0??????? (9)
Wi=(w1,w2,…,wi,…,wm)T?? (10)
式中λmax,i——成對比較矩陣Ai的最大特征值
??? Wi——一級評價指標Fi的準則權重向量
???專家所作判斷的合理性程度需要進行一致性檢驗,以一致性指標(Consistency Index,CI)與一致性比率(Consistency Ratio,CR)來檢驗一致性。當兩者均小于0.1時,可認為專家所作判斷合理。
???一級評價指標的綜合指數計算式如下:
??? xi=Wi·Ai??? (11)
式中xi——一級評價指標E的綜合指數
???④ 構造一級評價指標功效函數
一級評價指標Fi對系統有序度的功效計算式如下:
???

式中ui——一級評價指標Fi對系統有序度的功效值
??? αi、βi——系統穩定時一級評價指標Fi綜合指數的上、下限值
??? 在系統中ui反映了各指標達到目標的滿意程度,ui=0時為最不滿意,ui=1時為最滿意,ui的范圍為[0,1]。
3.3 構建耦合度函數
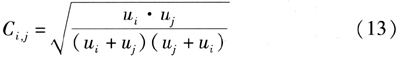
???根據物理學中的容量耦合概念及容量耦合系數模型確定兩個系統的耦合度函數為:
?

式中uj——一級評價指標Fj對系統有序度的功效值
??? Ci,j——第i個與第j個一級評價指標的耦合度
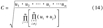
推廣得到多個系統整體的耦合度模型為:
?

式中C——系統整體的耦合度
??? 系統耦合度值的范圍為[0,1)。當0≤C<0.3時,市政燃氣管網4個一級評價指標間處于較低的耦合階段,此時的燃氣管網規模較小,人因因素、管體因素、環境因素、管理因素都不突出,彼此間的影響較小;當0.3≤C<0.7時,4個一級評價指標間處于磨合期,管體因素、環境因素導致燃氣管網的安全性降低,需要加強管理,投入人力物力來提高安全性,但這種投入是有限度的,需要進行綜合考慮,使得燃氣管網的安全性得到提高;當0.7≤C<1時,4個一級評價指標間處于高度耦合,彼此相互促進,良性發展,有效的管理、適當的人力物力投入使得管體因素、環境因素對燃氣管網安全性造成的不良影響得以降低,達到可接受的程度,保證燃氣管網安全性處于低風險區。