近年來,國家大力推行“碳達峰”“碳中和”,旨在推動社會主義生態文明建設提升并對全球氣候改善做出相應貢獻。在城市水環境和水生態的建設方面,積極響應國家“降碳”方針,對現有污水再生處理廠進一步提標改造,再生水作為生態補水回灌北方城市季節性河道水系,減輕再生水對河道生態系統的風險。排水系統具有廣闊的減碳空間,污水再生處理廠作為排水系統降碳關鍵突破點,減碳技術包括:
(1)降低CH4、N2O等溫室氣體的直接碳排放類技術;
(2)通過降低電耗、熱耗、藥耗等間接碳排放類技術;
(3)尾水、污泥等資源化利用的碳替代類技術等。
本文以Q市某污水再生處理廠提標改造過程中,降低電耗、藥耗等為例,開展設計與運行相關降碳技術路徑的研究。在不增加占地、工藝單元、電耗的情況下,通過強化調節池的水解酸化功能作為脫氮除磷生化系統預處理工藝,原位開發內碳源,SCODCr平均有效提高63.5%,節省外碳源投加量42.5%~55.4%;通過復合鐵酶促活性污泥技術耦合AAO+MBR工藝運行,強化系統脫氮除磷效果,節省鐵鹽(FeCl3)平均投加量約為60%以上;較大幅度節省外加碳源、鐵鹽等藥耗,污水再生處理系統出水除TN外其他指標穩定達到《地表水環境質量標準》(GB 3838—2002)Ⅳ類標準,有效實現降碳的目的;同時工程改造優化粗細格柵縫隙設置提高SS攔截效率,控制源頭動植物油脂排放以及運行過程中鐵鹽過量投加,有效降低超濾膜污堵,使系統長期穩定運行。
1 改造前概況
Q市某污水再生處理廠設計規模為6 000 m3/d,采用AAO+MBR處理工藝,出水水質需滿足《城鎮污水處理廠污染物排放標準》(GB 18918—2002)一級A標準,生產的再生水回用于園區的綠化灌溉和南側河道上游的生態補水。為充分發揮項目效益,水量充足滿負荷運行,在原服務范圍之外市政污水主干管上截流污水,再通過一體化泵站轉輸至廠區進水井一并處理,但是此后該廠運行開始出現膜堵塞、脫氮除磷效果變差等問題,處于存在出水不達標的非正常運行狀態。
1.1 改造前設計進出水水質
本工程設計進出水水質如表1所示,實際運行過程中各項指標均能達到設計標準。

1.2 污水處理工藝及流程
污水采用“粗格柵+細格柵+旋流沉砂池+提升泵房+調節池+超細格柵+AAO生化池+MBR池+清水池”處理工藝;污泥采用“儲泥池和離心濃縮脫水機”處理工藝;臭氣采用“全過程除臭+生物除臭濾池+高能等離子除臭”處理工藝。污水處理工藝處理流程如圖1所示。

1.3 主要構筑物設計
主要構筑物采用窯洞式半地下組合布置,沿北側大道頂部覆土建設成景觀帶,建成環境優美的景觀節點,沿南側河道面設置進出通道,中間層為操作層,下部為水池。廠區占地面積為5 770 m2,分為預處理區、主體處理區、附屬區。預處理單元包括粗格柵、細格柵、旋流沉砂池、進水提升泵房。主體處理單元包括調節池、精細格柵、AAO生化池、MBR膜池及膜池配套設備、清水池、儲泥池及脫水機房、鼓風機房、加藥間。其中調節池有效調節容積為2 000 m3,停留時間為8.0 h;AAO反應池有效容積為3 375 m3,有效水深為6.0 m,總水力停留時間(HRT)為13.7 h,容積負荷為0.64 kg BOD5/(m3·d),設計混合液MLSS為8 g/L,泥齡為19.3 d;MBR池-好氧區回流比為300%~500%,好氧區-缺氧區回流比為200%~400%,缺氧區-厭氧區回流比為100%~200%;膜池共2格,MBR采用膜孔徑為0.2 μm的中空纖維膜,平均通量為15.12 L/(h·m2);采用FeCl3作為化學除磷藥劑,設計最大投加量為40 mg/L;采用乙酸鈉作為反硝化脫氮碳源,設計最大投加量為60 mg/L。
1.4 原設計經濟指標
項目總投資為7 018萬元,其中建安費為5 753萬元。單位污水處理經營成本為3.8元/m3,其中電費為0.78元/m3?(電耗為1.26 kW·h/m3)、藥劑費用為0.48元/m3。
1.5 原設計特點
(1)針對匯水區域白天排水量大、晚上量小的特點,前段設調節池1座,調節進水水量波動、均衡水質,應對沖擊影響。
(2)采用AAO+MBR為主體工藝,具有占地省、出水水質好等特點,并將處理設施集成組合布置,節約占地和工程投資。
(3)廠區受占地限制和周邊景觀要求,污水再生凈化廠整體設計成窯洞半地下式,頂部與北側覆土建設成山頭綠化景觀公園,與周邊環境相協調,廠區南側布置廠區進出通道,滿足正常運維管理。
(4)生產的再生水就近回用于園區內沖廁、綠化灌溉、澆灑以及河道補水,實現污水就地收集處理、循環再利用。
2 提標改造設計
2.1 改造目標與要求
根據當地生態環境保護部門的最新要求,排往附近海灣流域河道的污水處理廠的排放標準提升為主要指標達到《地表水環境質量標準》(GB 3838—2002)Ⅳ類標準(TN除外),設計進出水水質指標如表2所示。

2.2 存在的問題與難點分析
2.2.1 現狀存在問題
(1)該項目服務的匯水區域內有2座近萬人的高校,學校食堂的餐廚污水中動植物油含量高,而且食堂污水出口的隔油池缺失或年久失修,大量動植物油進入污水再生凈化系統,部分油脂黏附在超濾膜表面,形成膜污染堵塞膜表面,降低膜通量。
(2)廠外新增設一體化泵站,為了運行維護管理簡便采用粉碎式格柵,該類格柵極易導致柵渣細碎化,現有粗細格柵(柵縫分別為15、5 mm)攔截柵渣效率低下,造成后續精細格柵堵塞或溢流,以及柵渣穿透進入生化池及MBR工藝池的情況嚴重,超濾膜表面黏附大量的柵渣和淤泥,導致超濾膜堵塞、處理能力降低至3 000 m3/d以下,直接影響正常生產運行。
2.2.2 提標難點
(1)現有系統缺氧段的HRT為4 h,比正常的AAO+MBR工藝缺氧段(4.5~6 h)短,脫氮時間明顯不足。另外,同類項目提標一般需增設深度處理單元,由于本項目設計占地緊張,廠內無多余用地,也無法從周邊新增征地,原窯洞半地下式箱體無法做大規模改造增設工藝單體。因此,提標改造無法增加新的處理工藝單體,同時受周邊環境的影響,只能對現有設施改造挖潛。
(2)為防止發生MBR池污泥沉淀和減緩膜堵塞等問題,在MBR池設置鼓風吹掃設施,以致污泥回流的DO質量濃度在8.0 mg/L以上,AAO生化池缺氧段的實際DO質量濃度偏高(0.5~1.7 mg/L),生物除磷效果較差,難以達到設計要求。因此,向生化池投加過量的鐵鹽進行化學除磷,最大投加量達40 mg/L,以致生化系統活性污泥以及黏附在膜表面呈黃褐色的柵渣含大量積存的Fe3+,過量Fe3+容易對超濾膜造成污堵,降低膜通量。
2.3 解決思路與改造、運行措施
2.3.1 現狀問題解決措施
(1)協調匯水區域內兩所高校,在其餐廳污水出口增設或改造隔油池,并要求定期清掏,防止餐廚動植物油脂大量進入污水再生凈化系統,以減輕油脂對超濾膜的污染。
(2)對預處理段進行工藝改造。鑒于廠外轉輸一體化化泵站無人值守運維要求,不適宜改造,對廠內格柵系統進行改造,拆除現有2套柵縫為15 mm的粗格柵,將現有2套柵縫為5 mm的細格柵移至粗格柵處,細格柵處新增2套柵縫為2 mm的階梯式格柵,以期達到有效去除細碎柵渣的目的,緩解細柵渣對超濾膜污染及堵塞。
2.3.2 提標改造措施
(1)園區展會期間原調節池的功能為水量調節和水質均化,現在通過一體化泵站從周邊市政管網轉輸市政污水,其水量波動相對穩定。因此,調節池的水量調節功能弱化,充分利用近8.0 h的停留時間,在原設置的水下攪拌器的作用下充分混合,賦予調節池水解酸化功能,并作為主要功能。原位生物吸附和水解酸化作為生化處理的預處理,將固態顆粒狀、大分子、難降解、難被微生物吸收以及處理溶解較慢但可生物降解的有機物,分解成小分子容易吸收降解的有機物,能夠有效促進反硝化的進行。可以減少外碳源投加,而且可以改善AAO+MBR生化系統因污泥回流DO高而造成厭氧段DO偏高、厭氧環境差的狀態,提高生物除磷的效果。同時,設置20%剩余污泥回流入調節池備用設施,以備試運行和水解酸化系統虧泥等不正常狀態下使用。
(2)原設計AAO+MBR工藝需投加鐵鹽絮凝化學除磷,但過量投加時,絮凝劑包裹架橋作用粒子表面吸附活性點,吸附架橋作用變弱。適量的絮凝劑能夠通過吸附電中和作用降低污泥體系內部的排斥力,通過吸附架橋作用增大污泥的粒徑,而過量的絮凝劑投加將會對污泥體系產生相反的效果。另外,相對大分子質量的糖和蛋白質在絮凝劑的作用下與污泥絮體結合,胞外聚合物(EPS)的比污泥質量濃度有所增高。同時,鐵鹽水解釋放H+,可降低溶液中的pH,促使微生物產生EPS以適應不利的環境。EPS產量增多將會加速膜污染的速率。
鑒于復合鐵酶促活性污泥技術可強化活性污泥系統脫氮除磷的去除能力,充分發揮微生物體內復合形式鐵元素在胞內生化反應中酶促反應的激活劑作用,增強生物活性和代謝能力,提高活性污泥脫氮除磷效率和抵抗如低溫等外界環境因素變化能力,復合鐵酶促活性污泥含鐵量達到5%時,其系統處理能力、微生物代謝活性與能力、脫氮除磷性能達到最高。因此,擬定將復合鐵酶促活性污泥強化脫氮除磷工藝與AAO+MBR工藝耦合運行,采用復合鐵酶促活性污泥強化脫氮除磷工藝培養馴化活性污泥,以實現強化系統處理性能,同時降低鐵鹽投加量、降低Fe3+對膜組件的污染,也可以在一定程度上降低外碳源的投加量。
(3)經計算分析,現有MBR系統硝化和反硝化能力可基本達到新標準要求,本著低碳建設原則,優先通過運行技術措施達到提升目標,不再新增深度處理單元。運行根據實際進水水質,確定外碳源、鐵鹽等藥劑投加量,以達到降低運行成本的目的。
3 處理效果余運行參數分析研究
3.1 處理效果分析研究
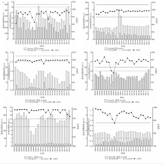
項目改造完成后系統恢復正常,處理水量基本穩定為5 500~6 000 m3/d,自2020年1月1日—2021年12月1日,每日進出水日檢常規控制指標如圖2所示,進出水水質特征值如表3所示。

圖2 進出水水質指標去除效果
經過分析研究,表3中出水最大值一般出現在調試運行的初始階段和超濾膜污染堵塞累積還未恢復性清洗階段。
(1)實際進水水質比原設計值相比,除SS外,其他指標均有較大幅度的降低,說明污水再生處理系統負荷降低。
(2)在兩個年度雨季期進水的各項指標出現大幅降低,表明上游污水管網系統存在雨水或地下水混入,而且經過管網的逐步改造,2021年進水水質較2020年明顯提升。
(3)在2個年度的11月各項進水指標大幅度提高,造成此問題的原因是MBR池膜污染加重,膜通量降低,MBR池混合液溢流至進水前端,造成進水各項指標大幅度升高,通過對超濾膜離線恢復性清洗,使膜通量恢復正常,系統正常運行。
(4)通過工程改造和運行模式優化調整,該污水再生處理系統出水除TN外,達到《地表水環境質量標準》(GB 3838—2002)Ⅳ類標準,其中SS、氨氮、TN、TP除個別時段外明顯優于出水標準值。
3.2 運行參數分析研究
(1)水解酸化效果。通過跟蹤監測分析水解酸化調節池的進出水水質,其CODCr的去除效果達到15%~30%,溶解性CODCr(SCODCr)由32~76 mg/L提高到58~98 mg/L,平均提高率為63.5%。這部分SCODCr中85%的成分可以轉化為揮發性脂肪酸(VFA),可以有效促進反硝化菌的生理代謝活性及數量,減少外加碳源的投加量,表明水解酸化內碳源開發效果良好,水解酸化原位開發內碳源工藝作為脫氮除磷生化系統預處理有顯著效果。
(2)復合鐵酶促活性污泥技術耦合AAO+MBR工藝效果。MBR工藝本身具有處理效果好、出水水質好等特點,同時將復合鐵酶促活性污泥系統工藝與AAO+MBR工藝耦合,培養馴化復合鐵酶促活性污泥強化脫氮除磷技術系統,運行減少FeCl3投加量,平均控制在10 mg/L,生化池污泥質量濃度控制在6 g/L,冬季污泥質量濃度增至8 g/L,實際容積負荷為0.21 kg BOD5/(m3·d),污泥有機負荷為0.04 kg BOD5/(kg MLSS·d),污泥TN負荷為0.01 kg TN/(kg MLSS·d),包括冬季低溫(水溫為10~12 ℃)在內脫氮除磷效果良好。復合鐵酶促活性污泥強化脫氮除磷工藝系統除可節省鐵鹽投加量之外,在一定程度上也節省外碳源的投加量。
(3)鐵鹽投加量。Fe/P摩爾比為1.6時,TP去除率為90%(溶解性磷酸鹽去除率≥96%),本項目按照進水90%保證率TP=4.1 mg/L,出水TP≤0.3 mg/L要求,計算鐵鹽的投加量為32 mg/L;工程實際運行的鐵鹽投加量平均為10 mg/L,對比分析鐵鹽投加量平均節省69%,TP去除率≥95%。同類型工藝污水處理廠鐵鹽平均約20 mg/L,本工程與其相比低了約50%。
(4)碳源投加量。相對原設計進水B/C(0.467),實際進水B/C為0.315、90%保證率B/C為0.250,實際進水的可生化性明顯偏低。進水B/TN由原設計值(4.667)降低到實際平均的3.613、90%保證率的2.927,脫氮所需的有效碳源明顯不足。另外,系統缺氧段的HRT為4.0 h,脫氮時間不足。結合經驗值脫氮達到TN≤10 mg/L所需的B/TN按照5.0:1~6.0:1(按照5.5:1)計算,進水按照90%保證率TN質量濃度為41 mg/L,計算需要投加碳源量為94 mg/L。按照實際運行出水平均TN≤7 mg/L,計算需要投加碳源量為121 mg/L;實際運行的碳源平均投加量為54 mg/L,對比分析節省外加碳源42.5%~55.4%。同類型工藝污水處理廠乙酸鈉平均投加量約為40 mg/L,其出水TN平均質量濃度按12 mg/L控制,由于出水水質控制標準不一樣存在差異。
(5)膜污染堵塞。按照既定方案對粗細格柵進行改造后,精細格柵的柵渣量明顯減少,未出現柵渣大量穿透進MBR池污染堵塞超濾膜的現象,且鐵鹽投加量和動植物油脂均減少,超濾膜污染堵塞大幅度降低,采用正常的清洗方式和頻率即可正常運行。膜組件按照每天在線水氣沖洗一次(10 min)、每周在線維護性清洗一次(2 h)、每年離線恢復性清洗一次頻率清洗,經對比選用2%草酸進行恢復性清洗,對膜絲鐵銹的去除及膜通量恢復效果最為明顯。
(6)電耗。本工程提標改造沒有增設工藝單體和設備,原有設備改造后繼續保持正常運行。由于進水水質濃度相對原設計值有一定幅度的降低,主要能耗為生化池鼓風機,仍按照單臺交替運行,當風量開至設計值的80%~90%時,即可滿足生化處理需求。MBR池吹掃鼓風機按照設計要求2用1備正常運行,風量為31 m3/min,全廠電耗平均約為1.04 kW?h/m3。因此,整個系統與提標之前比較沒有增加能耗,相對常規提標改造降低了電耗。
4 總結與探討
本工程在提標改造和運行過程中,不增加占地、工藝單元、電耗的情況下,通過工程改造和運行模式優化調整,較大幅度節省外加碳源、鐵鹽等藥耗的投加,污水再生處理系統出水穩定達到《地表水環境質量標準》(GB 3838—2002)類Ⅳ類標準,有效地實現降碳的目的。
(1)MBR工藝的預處理盡量規避使用粉碎式格柵,如果使用,須強化預處理粗細格柵單元對SS的去除效果,避免大量懸浮物穿透精細格柵對后續超濾膜造成污堵,控制源頭動植物油脂進入并降低鐵鹽過量投加,以降低膜污堵風險。
(2)水解酸化原位開發內碳源工藝作為脫氮除磷生化系統預處理,SCODCr平均有效提高63.5%,節省脫氮除磷而需要的外碳源投加量為42.5%~55.4%,有效實現降碳的目的。
(3)復合鐵酶促活性污泥技術耦合AAO+MBR工藝運行,有效地強化了系統脫氮除磷效果,并節省鐵鹽投加量60%以上,也在一定程度上節省外碳源的投加量,有效地實現降碳的目的。
(4)本工程沒有新增設工藝單體和設備,原有設備正常運行,在不增加電耗的情況下成功實現提標改造。
(5)本工程的水解酸化受現狀調節池改造限制,水解酸化原位開發內碳源工藝作為脫氮除磷生化系統預處理,其停留時間、污泥回流量、污泥濃度等設計運行參數,以及水解酸化運行效果好而不產生CH4等溫室氣體的控制措施,還需要進一步研究探索。
(6)本文在降低藥耗、能耗等方面做了一些研究探索,在污水再生處理工藝的系統降碳及定量計算方面還有待進一步探討研究。
污水處理過程中溶解氧的控制問題匯總
論污水的化學處理之化學混凝法
超低排放改造與脫硫廢水處理的優化探討
淺析化工廢水特點及廢水處理原則、特征
三種常見的高鹽廢水處理方式
城市黑臭水體治理技術體系研究
化工污水處理過程中的危險因素分析
關于污泥性狀異常及簡單分析結果
UASB厭氧處理工藝
污水處理系統應急預案
農村生活污水處理
燃煤電廠脫硫廢水零排放預處理工藝選…
煤化工廢水處理技術研究
SBR法處理煤化工廢水中石油烴類的試…
工業園區污水處理工藝選擇
發電廠節水及廢水綜合利用改造實例