摘要:以寶鋼焦化廢水生化出水為研究對象,采用膜生物反應器/納濾/反滲透(MBR/NF/RO)裝置進行了深度處理及廢水回用的中試研究,并對中試裝置進行了工業化改造。中試裝置及工業化裝置的運行結果表明,膜工藝深度處理焦化廢水在技術上是可行的,采用的MBR/NF/RO中試裝置實現了連續穩定處理,出水滿足《寶鋼企業內部工業水水質標準》(YBFH001010010),COD、電導率的去除率分別達到98.7%、95.2%;經過改進后的工業化裝置在焦化廢水生化出水深度處理中也得到了成功應用,工業化裝置運行穩定,產水率大于60%,出水水質優于YBFH001010010要求,并已用作循環水系統的補充水;經過對改進后的工業化裝置運行的能源消耗及藥劑成本核算,焦化廢水深度處理的成本為4.66元/t。
關鍵詞:焦化廢水 膜工藝 深度處理 污水回用
焦化廢水是煤在煉焦過程以及煤氣凈化、副產品回收過程中產生的廢水,其成分復雜,含有多種有機和無機污染物,如氨氮、酚、氰化物、硫氰酸鹽、多環芳烴以及長鏈脂肪族化合物等,是典型的難降解有機廢水[1-4]。焦化廢水處理多以生化或生化與物化混凝聯合方式為主,經過處理后的出水應達到《污水綜合排放標準》(GB8978—1996)后進行排放[5-8]。而隨著國家環保法規的日趨嚴格,《上海市污水綜合排放標準》(DB31/199—2009)以及《煉焦行業工業污染物排放標準》(GB16171—2012)相繼頒布實施,焦化廢水達標排放也面臨著更大的壓力和挑戰。
膜分離技術近年來發展迅速,在物料分離、海水淡化、城市污水回用等方面取得了非常廣泛的應用,但在焦化廢水深度處理領域的研究和應用還鮮有報道[9-15]。筆者以上海寶鋼化工有限公司焦化廢水經生化處理后的出水作為研究對象,通過中試裝置系統評估了膜工藝應用于焦化廢水深度處理及回用的可行性,并在此基礎上進行了工程化應用,實現了工業化裝置連續穩定的運行。
1材料與方法
1.1廢水水質
以焦化廢水經過生化處理后的出水為污水回用的研究對象,該出水水質狀況如表1所示。

1.2中試裝置及工業化裝置
焦化廢水回用中試裝置處理能力為10m3/h,其工藝流程如圖1所示。焦化廢水經過A/O生化處理后的出水通過膜生物反應器(MBR)對其中的難降解有機物進一步降解,同時去除出水中的懸浮固體,以滿足后續膜處理的要求。MBR出水經過多介質過濾器后進入后續的納濾/反滲透(NF/RO)系統進行處理。為防止膜受到微生物的污染,分別投加殺菌劑(NaClO)、還原劑(NaHSO3)以及阻垢劑,投加質量濃度分別為4、2、4mg/L。

在10m3/h處理規模的中試裝置基礎上,對焦化廢水回用的工業化應用工藝流程進行了改造優化,如圖2所示。工業化裝置的設計處理能力為150m3/h,生化出水首先經過混凝(投加1500mg/L的硫酸鋁和4mg/L的聚丙烯酰胺(PAM))進一步去除水中的有機物及氟化物后進入超濾(UF)系統,UF出水進入后續的NF/RO系統。投加殺菌劑、還原劑以及阻垢劑,種類及濃度同中試研究。中試裝置及工業化裝置的主要設備、規格如表2所示。

1.3分析方法
COD采用DR-2800COD快速測定儀測定;F-采用SEVENMULTI離子活度計測定;T-CN采用UV-2550紫光分光光度計測定;溶解性總固體(TDS)及電導率采用SEVENEASY電導率儀測定;Cl-采用CD10ASP離子色譜儀測定;濁度采用2100AN濁度儀測定;總硬度采用AA-7000原子吸收儀測定。
2結果與討論
2.1中試裝置的運行實績
2.1.1MBR運行效果
中試裝置MBR的水力停留時間(HRT)為3.5h,MLSS維持在8500mg/L,其運行一年的出水效果如圖3所示。由圖3可見,焦化廢水生化出水經過MBR處理前后的平均COD質量濃度分別為262.0、191.0mg/L,平均去除率為27.1%。由于焦化廢水經過A/O處理后殘留的COD主要為難降解有機物,BOD5質量濃度僅約30mg/L,B/C約為0.11,雖然MBR系統維持了較高的污泥濃度,但對COD的降解效果有限,其對COD的去除主要歸功于過濾作用。另外,MBR進水濁度為8~12NTU,出水濁度為0.5NTU左右,體現了其良好的過濾截留性能。MBR出水膜污染指數(SDI)穩定在4~5,滿足了后續NF/RO系統的進水要求。

MBR運行過程中最主要的問題是膜污堵,本研究設計采用了空氣錯流曝氣(曝氣量350m3/h)以及在線水力清洗的方式以減緩膜的污堵。在中試運行過程中,前1~2個月MBR系統運行平穩,隨著時間延長膜的污堵速度明顯加劇,在運行3~4個月時必須進行膜的人工清洗。對膜上污染物進行的元素分析結果表明,其中C、H、N質量分數分別占48.0%、4.0%、7.7%,且在925℃下灼燒后減重達82%,表明有機污染物是造成膜污堵的主要原因。該部分有機污染物在膜表面形成凝膠層,并逐漸集聚導致膜通量明顯下降,最終影響系統的連續穩定運行。
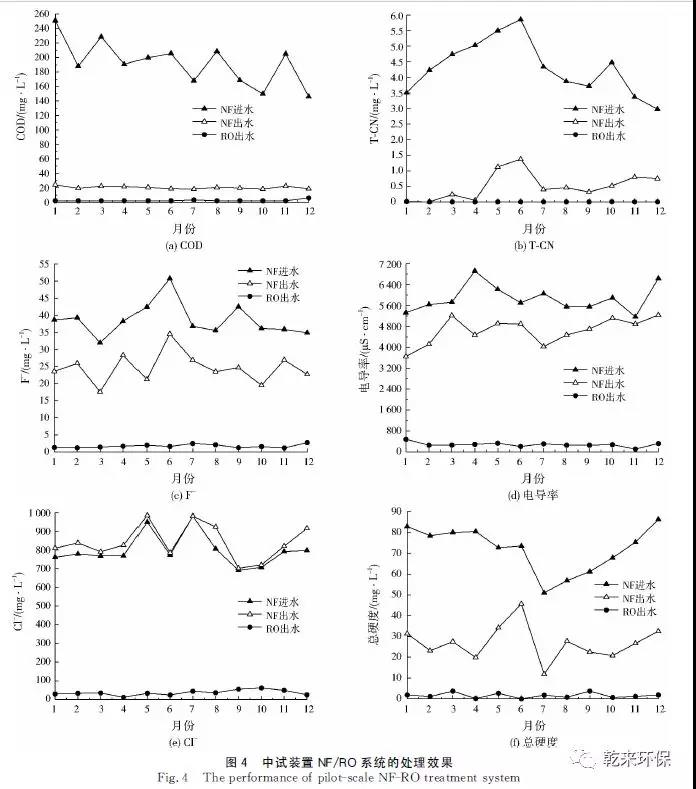
2.1.2NF/RO運行效果
MBR出水濁度、SDI雖然能夠滿足RO膜的進水要求,但由于其出水COD質量濃度仍然高達191.0mg/L,極易導致RO膜的污染,因此本研究設置了NF/RO組合工藝,利用NF膜的分離性能對COD等進一步去除,以保證RO膜的進水水質要求。
NF/RO系統一年的運行效果如圖4所示。由圖4可見,NF系統出水平均COD、T-CN、F-、總硬度分別為20.0、0.50、24.6、27.0mg/L,去除率分別達到89.5%、88.8%、36.0%、63.0%,F-以及硬度的去除在很大程度上減緩了后續RO膜的污堵。從電導率來看,NF系統的脫鹽率(以電導率去除率表征)僅為21.0%,主要是受到了NF系統進水較高的COD、硬度、F-等的影響。NF系統進、出水中Cl-含量波動較大,主要是受原水水質Cl-濃度波動以及投加的殺菌劑NaClO的影響。
RO系統出水平均COD、T-CN、F-、Cl-以及總硬度分別為2.0、0.01、1.7、25、1.6mg/L,去除率分別達到90.0%、98.0%、93.0%、97.0%、94.0%,電導率為278.0μ。S/cm,去除率為94.0%,達到了《寶鋼企業內部工業用水水質標準》(YBFH001010010)。
NF/RO系統在本項目研究期間運行總體平穩,由于NF系統進水COD濃度相對較高,實際運行過程中主要存在有機物的污堵,需要定期通過堿洗去除。RO膜的污堵物主要為CaF2,難以通過化學清洗有效去除,通過添加阻垢劑,防止了CaF2污堵對RO膜通量的不可逆影響。中試裝置NF/RO系統處理量為10m3/h,產水量6~7m3/h,NF、RO系統濃縮水產生量分別為3~4m3/h。由表3可見,NF系統產生的濃縮水中COD、T-CN濃度明顯高于RO系統,而RO系統產生的濃縮水中TN濃度相對較高,F-由于在NF及RO系統均有一定程度去除,因而在濃縮水中濃度差異不大。
中試裝置NF、RO系統產生的濃縮水返回寶鋼工業化A/O裝置進一步處理后達標排放。
2.2工業化裝置運行實績
2.2.1工業化裝置處理效果
在中試研究的基礎上,寶鋼化工于2011年5月啟動了焦化廢水深度處理及回用裝置的工業化改造,并于2012年10月正式投入運行。與中試流程相比,工業化流程主要進行了以下兩點改進,一是在生化出水后增加了預處理設施,通過投加硫酸鋁、PAM去除廢水中的COD以及氟化物,減少有機物對后續NF系統的污堵和RO系統的CaF2結垢;二是鑒于UF膜的過濾性能與MBR接近,且更易于在線自動連續清洗的特點,利用UF膜替代了中試系統的MBR及砂過濾器。


工業化裝置自投運開始至2013年3月以來各單元的運行效果如表4所示。生化出水通過投加硫酸鋁和PAM,F-去除率達到50.5%,效果較為明顯,而預處理過程的COD去除率約為22%。研究中還發現,預處理出水的TDS、電導率以及SO2-4濃度均上升,這是由于添加了混凝藥劑。UF進、出水平均濁度分別為9.7、0.4NTU,UF進水SDI>6,出水SDI約為4.0,滿足了NF系統的進水要求。NF出水平均COD、T-CN、F-以及總硬度分別為38.3、0.31、11.9、5.3mg/L,去除率分別達到85.0%、87.5%、38.6%、88.4%,出水平均電導率為4390.0μS/cm,去除率為39.0%。工業化裝置脫鹽率及總硬度去除率略高于中試裝置,主要與不同供應商的NF膜的過濾特性差異有關,其他污染因子的去除效率與中試裝置接近。RO出水平均COD、T-CN、F-以及總硬度分別為4.4、0.01、0.4、2.3mg/L,去除率分別達到88.0%、96.7%、96.8%、56.6%,電導率為92.5μS/cm,去除率為97.9%,均優于YBFH001010010要求,目前已作為補充水回用于循環水系統。


工業化裝置NF、RO系統產生的濃縮水水質狀況如表5所示。與中試試驗相比,由于采用了不同的預處理方案以及產水率的差異,導致工業化裝置NF、RO系統產生的濃縮水水質略有不同。濃縮水中TN濃度大幅下降主要是由于現有A/O生化系統進行了TN脫除的改造,進入深度處理廢水中的TN質量濃度已降至20mg/L左右。工業化裝置NF、RO系統產生的濃縮水回用于寶鋼的燒結系統,實現了焦化廢水真正意義的零排放。工業化裝置的產水率與中試裝置接近,NF、RO系統產水率均控制在75%~80%,系統總產水率為60%~65%。NF、RO膜的化學清洗周期約1~2個月。
2.2.2運行成本分析
運行經濟性是焦化廢水膜工藝深度處理回用裝置可行性的重要考察指標。2013年3—6月,焦化廢水回用工業化裝置的廢水處理量為215000t,總耗為464400元,平均月處理量為53750t,月總耗為116100元。對工業化裝置的運行成本核算結果如表6所示,其中不包括濃縮水處理、人工以及設備折舊等費用,UF、NF、RO膜元件使用壽命按設計值3年計算,膜更新費用為2.50元/t(以處理水量計,下同)。
由表6可見,焦化廢水回用工業化裝置的總處理成本為4.66元/t。寶鋼工業用水的價格在2.2元/t,與新鮮水價格相比,回用水沒有經濟優勢,但考慮到焦化廢水達標處理的成本高達20元/t,則該膜工藝深度處理焦化廢水回用工藝的經濟優勢非常突出。

3結論
(1)膜工藝深度處理焦化廢水在技術上是可行的,采用MBR/NF/RO的中試裝置實現了焦化廢水生化出水的連續穩定處理,出水滿足YBFH001010010要求,COD、電導率的去除率分別達到98.7%、95.2%。
(2)經過改進后的工業化裝置在寶鋼焦化廢水生化出水深度處理中得到了成功應用,工業化裝置運行穩定,產水率大于60%,出水水質優于YBFH001010010要求,并已用作循環水系統的補充水。
(3)焦化廢水回用工業化裝置的總處理成本為4.66元/t,與焦化廢水達標處理的高成本(20元/t)相比,該膜工藝深度處理焦化廢水回用工藝的經濟優勢非常突出。
污水處理過程中溶解氧的控制問題匯總
論污水的化學處理之化學混凝法
超低排放改造與脫硫廢水處理的優化探討
淺析化工廢水特點及廢水處理原則、特征
三種常見的高鹽廢水處理方式
城市黑臭水體治理技術體系研究
化工污水處理過程中的危險因素分析
關于污泥性狀異常及簡單分析結果
UASB厭氧處理工藝
污水處理系統應急預案
農村生活污水處理
燃煤電廠脫硫廢水零排放預處理工藝選…
煤化工廢水處理技術研究
SBR法處理煤化工廢水中石油烴類的試…
發電廠節水及廢水綜合利用改造實例
工業園區污水處理工藝選擇