摘要:近些年來,我國更加重視環境問題,對焦化行業提出了更高的要求,為了降低焦爐煤氣對環境的影響,對其干法脫硫工藝進行改進勢在必行。鑒于此,本文在對焦爐煤氣干法脫硫工藝存在問題分析的基礎上,提出了相應的改進方案,改進后的效果較為理想。
關鍵詞:焦爐煤氣;干法脫硫;一級加氫
0引言
煤氣原料的質量直接影響著甲醇的生產質量,如果煤氣原料中的硫含量較高,就會造成所生產的甲醇質量不合格。原料中的有機硫比較容易脫除,可以在流程的第一環就對其進行脫除,從而達到標準。但在實際工作中,進行有機硫脫除的系統對甲醇的生產設備運行狀態影響較大。因此,本文以某公司的有機硫脫除系統進行研究,并對一級加氫反應進行了分析,對現有焦爐煤氣干法脫硫工藝進行優化,以提高煤炭企業甲醇生產的質量。
1存在問題與分析
目前精脫硫系統主要存在的問題:①由于加氫反應為強放熱反應,因此床層結焦現象嚴重,導致一級加氫反應器的阻力上升較快,需要定期更換催化劑;②一級加氫反應器由于其工藝上的不可替代性而無法切出系統,因此只能停車更換催化劑,影響了整套裝置的開工率。
1.1精脫硫系統的數據分析
精脫硫系統工藝流程見圖1。H2S含量低于20mg/m3的焦爐煤氣被壓縮至2~2.5MPa后進入精脫硫系統,先進入預脫硫反應器脫除殘留的無機硫,然后進入一級鐵鉬加氫反應器,將大部分有機硫轉化為無機硫后,依次經過3個氧化鐵脫硫反應器,將轉化的無機硫脫除,再進入二級加氫反應器,將殘留的有機硫繼續轉化為無機硫后進入氧化鋅脫硫反應器,將無機硫全部除去,脫硫后的煤氣總硫含量小于0.15mg/m3,進入轉化單元。該工藝兩級加氫反應器均采用Fe-Mo/Al2O3加氫催化劑。

由于無機硫易于脫除,因此精脫硫工藝的關鍵在于加氫環節,必須確保煤氣在加氫反應器中將所含的有機硫全部轉化為無機硫,才能將總硫含量降至所要求的指標以內,焦爐煤氣中所含的有機硫主要包括CS2、COS、硫醇、噻吩等,其主要的加氫反應見式(1)~(4)。
CS2+4H2→2H2S+CH4(1)
COS+H2→CO+H2S(2)
RCH2SH+H2→RCH3+H2S(3)
C4H4S+4H2→C4H10+H2S(4)
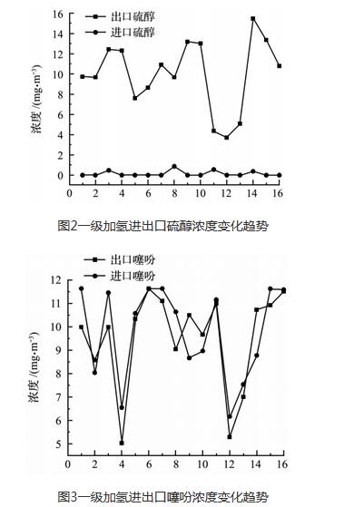
表1為實際生產中精脫硫系統的全分析數據,可以看出原料煤氣中COS與CS2占全部有機硫的90%以上,經過一級加氫反應器后大部分COS與CS2被除去;噻吩的濃度并未發生改變,甚至有增加的趨勢;而原料氣中原來未測出硫醇,經過加氫反應后反而測出一定量的硫醇。說明經過一級加氫后發生了某些反應生成了硫醇,甚至不排除生成噻吩的可能性,而在二級加氫反應后卻沒有硫醇或噻吩的生成。由此看來硫醇與噻吩的加氫反應式(3)和式(4)主要是在二級加氫反應器中發生的,另外二級加氫反應器還能將未加氫反應的COS與CS2轉化完全。

1.2一級加氫后硫醇與噻吩升高的原因分析
為了進一步證明前述生成硫醇與噻吩的現象并非偶然,將實際生產中的化驗數據進行整理并繪制成曲線,如圖2和圖3所示,很明顯在一級加氫過程中確實生成了硫醇,而噻吩的濃度基本沒有變化。原料氣體中乙烯含量達到1.76%,而出口氣體中其含量降至0.09%,說明乙烯參與了反應而被消耗,其發生的反應見式(5),即烯烴與H2S反應生成了相應的硫醇,另外乙炔與H2S反應可以生成CH2=CH-SH,CH2=CH-SH加氫同樣可以生成C2H5SH,如式(6)所示。而二硫化物以及硫醚在加氫時均會生成硫醇,然后進一步脫硫,因此在加氫反應過程中生成硫醇是合理的。
C2H4+H2S→C2H5SH(5)
C2H2+H2S→C2H4SH→C2H5SH(6)
上述有機硫在較寬的溫度與壓力范圍內加氫反應平衡常數較大,因此在加氫過程中決定脫硫效率高低的因素是反應速率而不是化學平衡。在上述硫化物中噻吩類的加氫活性是最小的,因此噻吩的加氫反應速度遠小于其他硫化物的加氫速度,導致噻吩較其他硫化物難以脫除。

1.3對于加氫催化劑結焦的分析
根據實際經驗,一級加氫催化劑在使用一段時間后會發生阻力升高、加氫效果變差等問題,在更換催化劑時發現催化劑結焦較為嚴重,這是由于原料煤氣在經過凈化、壓縮等工序后夾帶出一定量的焦油、洗油、汽輪機油等物質,這些物質在高溫環境下會發生聚合、結焦等現象,從而造成催化劑床層阻力上升。
1.4解決問題的構想
(1)改善原料氣的質量,在一級加氫反應器前增加過濾裝置,進一步除去煤氣中含有的油類雜質。
(2)重點針對硫醇及噻吩的脫除問題,對一級加氫系統進行優化與改造,緩解二級加氫的生產負荷。
2一級加氫工藝的改進
原有工藝中一級加氫反應器出口有機硫含量分布見表1,分子結構較為簡單且副反應較少的COS與CS2含量共計約67mg/m3;加氫活性較差、且易發生副反應的硫醇、噻吩含量約為35mg/m3,因此需要分別設計具有針對性的脫除方案。
2.1COS與CS2的脫除方案
一般情況下含硫化合物的加氫活性與其結構有很大關系,結構復雜的含硫化合物往往加氫活性較差,由于COS與CS2本身結構較為簡單,加氫反應速度也很快,因此COS與CS2的加氫反應比較容易發生且受到的干擾較少。由此看來,只需增加一級加氫催化劑的裝填量即可滿足工藝指標。但由于一級加氫反應器無法繼續加裝催化劑,因此在一級加氫反應器前增加預加氫反應器。
2.2硫醇與噻吩的脫除方案
綜上所述,有機硫脫除效率的高低主要取決于加氫環節,由于結構復雜、加氫活性相對較差等特性,硫醇、噻吩等硫化物才是加氫反應的關鍵步驟。H2S的存在主要有兩方面影響:(1)與烯烴反應生成了新的硫醇和噻吩;(2)抑制了噻吩的氫解反應。因此可以推斷H2S含量越低,硫醇與噻吩的加氫轉化率越高。因此,將氧化鐵脫硫槽A中的催化劑更換為兼具加氫與脫硫活性的鐵錳催化劑,同時在氧化鐵脫硫槽B的上半部裝填一部分鐵鉬催化劑,使煤氣經過一級加氫后先進入鐵錳脫硫槽,將轉化來的H2S盡可能脫除后再進行加氫反應,以消除H2S對硫醇、噻吩加氫反應的影響。
2.3原料煤氣凈化方案
為了防止原料煤氣夾帶的焦油、洗油雜質進入加氫反應器,引起催化劑床層結焦、阻力上升,決定在加氫前增加2個活性炭過濾器,進一步除去煤氣中含有的油類雜質。
3改進效果
按照上述方案改進后的流程見圖5,表2為改進后精脫硫系統的化驗數據,一級加氫后COS、CS2的含量明顯下降,加裝加氫催化劑后的氧化鐵B出口氣體中幾乎不含硫醇、噻吩,到二級加氫時有機硫已經全部轉化為無機硫,二級加氫反應器基本沒有生產負荷。表3為將一級加氫切出系統后的化驗數據,可以看出改造后的系統可以實現不停產進行一級加氫催化劑更換工作,保證了全年開工率。


加氫前增加過濾器后,一級加氫反應器的阻力較以前穩定,催化劑更換次數由2次/a降低至1次/a。
4結語
通過對煤氣精脫硫生產裝置的運行數據進行研究,得到以下結論。
(1)一級加氫反應器阻力增大是由于原料煤氣夾帶的焦油、洗油、汽輪機油等物質在高溫環境下發生聚合、結焦等現象所致。
(2)影響精脫硫裝置脫硫效率的關鍵環節是加氫過程,而控制加氫總效率的關鍵環節是硫醇、噻吩的加氫反應。
(3)烯烴和H2S的反應影響了硫醇、噻吩的脫除效率。
(4)H2S的存在抑制了噻吩的加氫反應。
(5)H2S含量越低,硫醇、噻吩的加氫轉化率越高。
垃圾焚燒煙氣超低排放改造技術探討
生活垃圾焚燒煙氣污染物的控制與處理…
乙烯基酯玻璃鋼在垃圾焚燒煙氣凈化系…
生活垃圾焚燒煙氣凈化處理技術
垃圾焚燒廠煙氣凈化SCR改造設計和脫…
煙氣脫硫副產物的處理與處置
回轉窯焚燒系統危廢處置煙氣CO超標分析
垃圾焚燒發電中的排放氣體控制技術
影響大氣污染的主要因素是什么?
焦爐煙氣脫硫脫硝凈化技術與工藝
硫化物的主要去除方法
脫硫方法的分類
中國CCUS技術發展趨勢分析
高爐煤氣干法除塵布袋周期破損原因分…
新型干法水泥窯捕集純化(減排)二氧…
汽車尾氣污染控制方法